XB-ART-1299
Nucl Recept
2005 Sep 30;3:2. doi: 10.1186/1478-1336-3-2.
Show Gene links
Show Anatomy links
Evolutionary selection across the nuclear hormone receptor superfamily with a focus on the NR1I subfamily (vitamin D, pregnane X, and constitutive androstane receptors).
Krasowski MD
,
Yasuda K
,
Hagey LR
,
Schuetz EG
.
???displayArticle.abstract???
The nuclear hormone receptor (NR) superfamily complement in humans is composed of 48 genes with diverse roles in metabolic homeostasis, development, and detoxification. In general, NRs are strongly conserved between vertebrate species, and few examples of molecular adaptation (positive selection) within this superfamily have been demonstrated. Previous studies utilizing two-species comparisons reveal strong purifying (negative) selection of most NR genes, with two possible exceptions being the ligand-binding domains (LBDs) of the pregnane X receptor (PXR, NR1I2) and the constitutive androstane receptor (CAR, NR1I3), two proteins involved in the regulation of toxic compound metabolism and elimination. The aim of this study was to apply detailed phylogenetic analysis using maximum likelihood methods to the entire complement of genes in the vertebrate NR superfamily. Analyses were carried out both across all vertebrates and limited to mammals and also separately for the two major domains of NRs, the DNA-binding domain (DBD) and LBD, in addition to the full-length sequences. Additional functional data is also reported for activation of PXR and the vitamin D receptor (VDR; NR1I1) to gain further insight into the evolution of the NR1I subfamily. The NR genes appear to be subject to strong purifying selection, particularly in the DBDs. Estimates of the ratio of the non-synonymous to synonymous nucleotide substitution rates (the omega ratio) revealed that only the PXR LBD had a sub-population of codons with an estimated omega ratio greater than 1. CAR was also unusual in showing high relative omega ratios in both the DBD and LBD, a finding that may relate to the recent appearance of the CAR gene (presumably by duplication of a pre-mammalian PXR gene) just prior to the evolution of mammals. Functional analyses of the NR1I subfamily show that human and zebrafish PXRs show similar activation by steroid hormones and early bile salts, properties not shared by sea lamprey, mouse, or human VDRs, or by Xenopus laevis PXRs. NR genes generally show strong sequence conservation and little evidence for positive selection. The main exceptions are PXR and CAR, genes that may have adapted to cross-species differences in toxic compound exposure.
???displayArticle.pubmedLink??? 16197547
???displayArticle.pmcLink??? PMC1262763
???displayArticle.link??? Nucl Recept
???displayArticle.grants??? [+]
P30 CA021765 NCI NIH HHS , R01 GM060346 NIGMS NIH HHS , U01 GM061374 NIGMS NIH HHS , U01 GM061393 NIGMS NIH HHS
Species referenced: Xenopus laevis
Genes referenced: ahr cars1 cyp27b1 cyp3a4 dio3 lgals4.2 nr1i2 nr1i3
???attribute.lit??? ???displayArticles.show???
![]() |
Figure 1. Summary of PAML discrete ω ratio variation models. Each point on the plots in (A), (B), and (C) corresponds to the frequency and ω ratios for the best minimum model (e.g., M0, M3/ncatG = 2, M3/ncatG = 3, etc.) that provides a statistically superior fit to the data (i.e., a more complex model with additional codon ω ratio classes that does not provide a statistically better fit to the next simplest model is rejected). For example, the analysis of the full-length sequence of NR1A1 (TRα) for all available vertebrate species shows that M3/ncatG = 3 is superior to M3/ncatG = 2 but statistically equivalent to M3/ncatG = 4. Consequently, plotted on Figure 1 are three points for the NR1A1 M3/ncatG = 3 analysis corresponding to frequency and ω ratios for three classes of codons – 80.6% (frequency = 0.806) of codons have an estimated ω ratio of 0.004, 14.9% have an ω ratio of 0.094, and 4.5% have an ω ratio of 0.259. An analysis that shows M0 is the best minimum model will have 100% of codons (frequency = 1.0) with a particular ω ratio. (A), (B), and (C) apply to analyses of full-length sequences, DBD only, and LBD only, respectively. The open circles are for analyses of all available vertebrate sequences while the closed circles are for analyses of mammals only. For part (C), the red open and closed triangles represent data for the LBD of the AHR gene (a non-NR gene that encodes a protein with similar function to PXR and CAR). |
![]() |
Figure 2. Summary of PAML β-distribution ω ratio variation models. The plots are derived from the estimated β-distribution parameters for the M7 (or M8, if statistically superior to M7) models for the NR genes and show for a particular gene how many codons have estimated ω ratios equal to or less than a particular ω ratio on the abscissa. In contrast to Figure 1, only data derived from analyses of all available species are included in Figure 2 (i.e., mammals-only comparisons are not included). (A), (B), and (C) apply to analyses of full-length sequences, DBD only, and LBD only, respectively. For part (C), the red curve represents data for the LBD of the AHR gene. Analysis in part (A) is for NR1A1, 1B1, 1C1, 1F2, 1H3, 1I1, 1I2, 1I3, 2A1, 2B1, 3A1, 3A2, 3B1, 3C1, 3C3, 4A1, 5A1, 6A1, 0B1, and OB2; for part (B), analysis is for NR1A1, 1B1, 1C1, 1H3, 1I1, 1I2, 1I3, 2A1, 2B1, 3A1, 3A2, 3B1, 3C1, 3C3, 4A1, 5A1, and 6A1; and for part (C), analysis is for NR1A1, 1B1, 1F2, 1H3, 1I1, 1I2, 1I3, 2A1, 2B1, 3A1, 3A2, 3B1, 3C1, 3C3, 4A1, 5A1, 6A1, 0B1, OB2, and AHR. |
![]() |
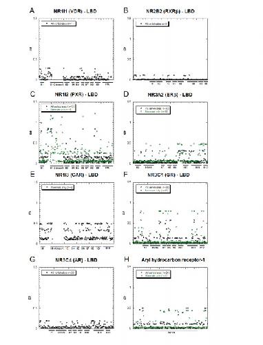
Figure 3. Estimates of ω ratios for individual codons in the LBDs of 7 NR genes and the AHR gene. The graphs in (A) through (H) plot the estimated ω ratios for individual codons of the LBDs of 7 NR genes and the AHR gene derived from the 'best minimum' PAML discrete model. The location of the α-helices in the LBDs of the NR genes that correspond to codons are indicated in the abscissas (e.g., 'H1' denotes α-helix-1; 'H1-H3 insert' denotes the insertion region in the NR1I subfamily proteins between helix-1 and helix-3); the location of the PAS-B domain is also shown for the AHR gene. CAR lacks the H1-H3 insert but this region is plotted in (E) to keep the alignment consistent between (A) VDR, (C) PXR, and (E) CAR. Due to difficulties in alignment and extreme sequence divergence for VDR and PXR in the H1-H3 insertion region, PAML analysis for this region could be performed for mammals only for the PXR genes. For NR1I1, NR2B2, and NR3C4, analysis restricted to mammals resulted in a best minimum PAML discrete model of only one ω ratio population (i.e., the M0 model); therefore, only data for all vertebrate species is plotted for those three genes (note also that the CAR gene is only found in mammals). The plots in (A), (C), and (E) show data for all three NR1I subfamily members and reveal that PXR has the widest variation of ω ratios across codons both within this subfamily (with CAR intermediate between PXR and VDR) and compared to the other NR genes. |
![]() |
Figure 4. Estimates of ω ratios for individual codons in the DBDs of 6 NR genes. The graphs in (A) through (F) plot the estimated ω ratios for individual codons of the DBDs of 6 NR genes derived from the 'best minimum' PAML discrete model, utilizing sequence data from all available vertebrate species (note that the CAR gene is found only in mammals). In contrast to the analyses of the LBDs in Figure 3, the ω ratio variation in the DBDs for the six NR genes shown in (A) through (F) is limited and restricted to low ω ratios. |
![]() |
Figure 5. Sequence alignment of the LBD of PXR, VDR, and CAR genes. The locations of the α-helices above the amino acid sequences are based on the structures determined from x-ray crystallography of human PXR and human VDR [73, 88]. Amino acid resides highlighted in bold type are residues in human PXR, human VDR, mouse CAR, and human CAR shown to directly interact with structurally diverse ligands. These residues have been determined by x-ray crystallography and, in some cases, by additional molecular modelling for human VDR [39, 88-90], rat VDR [91], human PXR [37, 38, 73], mouse CAR [40, 92], and human CAR [81]. The ligands for the various receptors are: human VDR – calcitriol [39, 88, 89], 20-epi calcitriol analogs [89], calcipotriol, seocalcitol [39], 1α,25-lumisterol [90]; rat VDR – 2-carbon substituted vitamin D3 analogs [91]; human PXR – SR12813 [73], hyperforin [38], rifampicin [37]; mouse CAR – 5α-androst-16-en-3α-ol (androstenol) [92], TCPOBOP [40]; and human CAR – 5β-pregnan-3,20-dione and 6-(4-chlorophenyl)imidazo[2,1-b][1,3]thiazole-5-carbaldehyde O-(3,4-dichlorobenzyl)oxime (CITCO) [81]. The amino acid residues highlighted in red underlined boldin Xenopus laevis BXRα and BXRβ correspond to codons that show evidence of positive selection in a previously published phylogenetic analysis of nucleotide variation in the BXRα and/or BXRβ lineages [30]. Note that of the 23 amino acid residue positions identified as having high probability of having experienced positive selection in the BXRα and/or BXRβ lineages, 9 are orthologous to or adjacent to residues that are orthologous to human PXR residues shown to directly interact with the ligands SR12813, hyperforin, and/or rifampicin in x-ray crystallographic structures of the human PXR [37, 38, 73]; an additional two residues are orthologous to ligand-binding residues in human VDR [39, 88-90] and, also in one case, human and mouse CAR as well [40, 81, 92]. |
![]() |
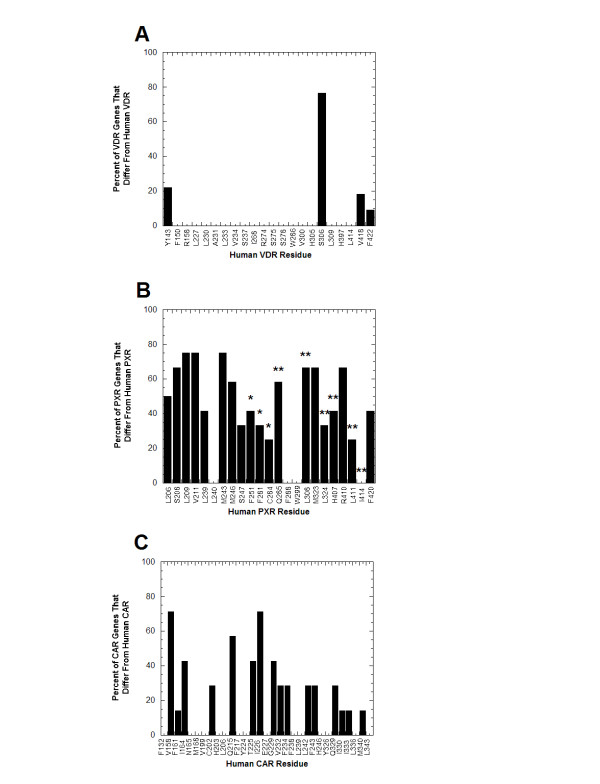
Figure 6. Conservation of ligand-binding residues in VDR, PXR, and CAR. From high-resolution, x-ray crystallographic structures of human VDR, rat VDR, human PXR, mouse CAR, and human CAR bound to various ligands, the amino acid residues that directly interact with ligands are known (see Figure 5; also see Additional file 1: Genes used for phylogenetic analysis for complete list of species available and their accession numbers). (A) Of the 22 amino acid residues shown to interact with ligands at human and/or rat VDRs, only 4 residues show any sequence variation across vertebrate species. The remaining 18 of 22 residues show complete conservation across all vertebrate VDRs (from sea lamprey to human VDRs). Eighteen VDRs were used for the analysis. Due to partial sequence, data for the chimpanzee VDR was only available for the first two ligand-binding residues (corresponding to human VDR Y143 and F150); in addition, data was missing for the four most C-terminal ligand-binding residues (corresponding to human VDR H397, L414, V418, and F422) for crocodile, snake, turtle, lizard, frog, and fugu-β VDRs. (B) In contrast to the VDRs, the PXRs show extensive amino acid sequence divergence at the residues shown to interact with ligands at the human PXR. Only 3 of 23 positions are conserved throughout the 13 vertebrate PXRs while for 9 of 23 residues, over half of the PXRs have an amino acid residue that differs from that at the human PXR. Also indicated are the 9 amino acid residues in the BXRα and/or BXRβ lineages that show evidence for positive selection (see Figure 5 legend for more details; * indicates BXRα and/or BXRβ residue directly orthologous to human PXR ligand-binding residue; ** indicates residue adjacent to such a ligand-binding residue). (C) CARs also show much more divergence at ligand-binding positions than human VDR but not as great as the PXRs. The data is based on eight complete mammalian CAR sequences. |
![]() |
Figure 7. Concentration-response curves of activation of PXRs and VDRs by endogenous ligands or their analogs. The ordinate represents activation of the PXR or VDR, relative to vehicle control, and normalized to the maximal activator (rifampicin for human PXR, 5α-androst-3α-ol for zebrafish PXR, n-butyl-p-aminobenzoate for Xenopus laevis BXRα, n-propyl-p-hydroxybenzoate for Xenopus laevis BXRβ, and calcitriol for human and sea lamprey VDRs; see Materials and Methods for more details). The drugs tested were pregnenolone (●), petromyzonol sulfate (sea lamprey bile salt; ○), scymnol sulfate (cartilaginous fish bile salt; □), 3-ketolithocholic acid (mammalian bile acid metabolite; △), n-propyl-p-hydroxybenzoate (▲), and 1,25-(OH)2-vitamin D3 (calcitriol; ■). (A) Human PXR is activated by micromolar concentrations of the steroid pregenonolone, the early bile salts petromyzonol sulfate and scymnol sulfate, 3-ketolithocholic acid, and the benzoate analog. Calcitriol does not activate human PXR. (B) Similar to human PXR, zebrafish PXR is activated by the steroid pregnenolone, the cartilaginous fish bile salt scymnol sulfate, and the benzoate analog, but not by the other compounds. (C, D) The Xenopus laevis BXRs do not share any ligands with human and zebrafish PXRS other than the benzoate analog n-propyl-p-hydroxybenzoate, which activates BXRα and BXRβ robustly. (E, F) Human and sea lamprey VDRs are both activated robustly by nanomolar concentrations of calcitriol. Similar to human PXR, 3-ketolithocholic acid activates human VDR at micromolar concentrations, with an efficacy of only 15% relative to calcitriol. Sea lamprey was not activated at all by 3-ketolithocholic acid. Weak concentration-dependent activation of sea lamprey VDR by petromyzonol sulfate (○) was observed; however, the efficacy of this bile salt was only ~5–6% relative to that of calcitriol. In panels (A, E, F), full-length receptors for human PXR, human VDR, and sea lamprey VDR were used, with the reporter plasmid being CYP3A4-PXRE-Luc. In panels (B, C, D), GAL4-LBD fusion constructs were used for zebrafish PXR and the Xenopus laevis BXRs, with the reporter plasmid being tk-UAS-Luc. |
![]() |
Figure 8. Proposed phylogeny of the NR1I subfamily. The phylogenetic tree is based on known phylogenetic relationships between the species combined with functional data from this study and others. Features included are activation by pregnane and androstane steroids, C27 bile alcohol sulfates (like cyprinol and scymnol sulfate), C24 bile acids (such as cholic and lithocholic acid), benzoates, and calcitriol; ability to increase (upregulate) the expression of the CYP3A enzymes; and high constitutive (baseline) activity. It is possible that activation of PXRs by benzoates is an ancestral property as all PXRs can be activated by at least some benzoate compounds [44], although functional roles of these compounds have so far only been demonstrated in frogs [41, 42]. The study of ligand effects on CARs is complicated by the high constitutive activity of these receptors; many ligands act as inverse agonists of CARs. The possible developmental role of zebrafish PXR is highlighted by its strong expression in early life stages of zebrafish [74]. |
References [+] :
Anisimova,
Accuracy and power of the likelihood ratio test in detecting adaptive molecular evolution.
2001, Pubmed
Anisimova, Accuracy and power of the likelihood ratio test in detecting adaptive molecular evolution. 2001, Pubmed
Anisimova, Accuracy and power of bayes prediction of amino acid sites under positive selection. 2002, Pubmed
Baker, Evolution of adrenal and sex steroid action in vertebrates: a ligand-based mechanism for complexity. 2003, Pubmed
Baker, Cloning and expression of full-length cDNA encoding human vitamin D receptor. 1988, Pubmed
Baker, Recent insights into the origins of adrenal and sex steroid receptors. 2002, Pubmed
Bardet, Cloning and developmental expression of five estrogen-receptor related genes in the zebrafish. 2004, Pubmed
Bertilsson, Identification of a human nuclear receptor defines a new signaling pathway for CYP3A induction. 1998, Pubmed
Bertrand, Evolutionary genomics of nuclear receptors: from twenty-five ancestral genes to derived endocrine systems. 2004, Pubmed
Blumberg, BXR, an embryonic orphan nuclear receptor activated by a novel class of endogenous benzoate metabolites. 1998, Pubmed , Xenbase
Blumberg, SXR, a novel steroid and xenobiotic-sensing nuclear receptor. 1998, Pubmed
Bresolin, Expression of PXR, CYP3A and MDR1 genes in liver of zebrafish. 2005, Pubmed
Chrencik, Structural disorder in the complex of human pregnane X receptor and the macrolide antibiotic rifampicin. 2005, Pubmed
Clark, Inferring nonneutral evolution from human-chimp-mouse orthologous gene trios. 2003, Pubmed
Dehal, The draft genome of Ciona intestinalis: insights into chordate and vertebrate origins. 2002, Pubmed
Drocourt, Expression of CYP3A4, CYP2B6, and CYP2C9 is regulated by the vitamin D receptor pathway in primary human hepatocytes. 2002, Pubmed
Ebersberger, Genomewide comparison of DNA sequences between humans and chimpanzees. 2002, Pubmed
Endo, Large-scale search for genes on which positive selection may operate. 1996, Pubmed
Escriva, Ligand binding and nuclear receptor evolution. 2000, Pubmed
Escriva, Evolution and diversification of the nuclear receptor superfamily. 1998, Pubmed
Geick, Nuclear receptor response elements mediate induction of intestinal MDR1 by rifampin. 2001, Pubmed
Goodwin, Transcriptional regulation of the human CYP3A4 gene by the constitutive androstane receptor. 2002, Pubmed
Goodwin, Regulation of the human CYP2B6 gene by the nuclear pregnane X receptor. 2001, Pubmed
Goto, Physicochemical and physiological properties of 5alpha-cyprinol sulfate, the toxic bile salt of cyprinid fish. 2003, Pubmed
Gronemeyer, Transcription factors 3: nuclear receptors. 1995, Pubmed
Grün, Benzoate X receptors alpha and beta are pharmacologically distinct and do not function as xenobiotic receptors. 2002, Pubmed , Xenbase
Hahn, Aryl hydrocarbon receptors: diversity and evolution. 2002, Pubmed
Handschin, Conservation of signaling pathways of xenobiotic-sensing orphan nuclear receptors, chicken xenobiotic receptor, constitutive androstane receptor, and pregnane X receptor, from birds to humans. 2001, Pubmed
Handschin, CXR, a chicken xenobiotic-sensing orphan nuclear receptor, is related to both mammalian pregnane X receptor (PXR) and constitutive androstane receptor (CAR). 2000, Pubmed
Handschin, The evolution of drug-activated nuclear receptors: one ancestral gene diverged into two xenosensor genes in mammals. 2004, Pubmed
Haslewood, Comparative studies of bile salts. Bile salts of the lamprey Petromyzon marinus L. 1969, Pubmed
Heath, Expression pattern of BXR suggests a role for benzoate ligand-mediated signalling in hatching gland function. 2000, Pubmed , Xenbase
Holick, Stay tuned to PXR: an orphan actor that may not be D-structive only to bone. 2005, Pubmed
Holick, Sunlight and vitamin D for bone health and prevention of autoimmune diseases, cancers, and cardiovascular disease. 2004, Pubmed
Huelsenbeck, Bayesian inference of phylogeny and its impact on evolutionary biology. 2001, Pubmed
Hustert, Natural protein variants of pregnane X receptor with altered transactivation activity toward CYP3A4. 2001, Pubmed
Ikeda, Twenty-six novel single nucleotide polymorphisms and their frequencies of the NR1I3 (CAR) gene in a Japanese population. 2003, Pubmed
Jones, The pregnane X receptor: a promiscuous xenobiotic receptor that has diverged during evolution. 2000, Pubmed
Kliewer, An orphan nuclear receptor activated by pregnanes defines a novel steroid signaling pathway. 1998, Pubmed
Kliewer, Orphan nuclear receptors: shifting endocrinology into reverse. 1999, Pubmed
Kliewer, The nuclear pregnane X receptor: a key regulator of xenobiotic metabolism. 2002, Pubmed
Koyano, Functional characterization of four naturally occurring variants of human pregnane X receptor (PXR): one variant causes dramatic loss of both DNA binding activity and the transactivation of the CYP3A4 promoter/enhancer region. 2004, Pubmed
Koyano, Eleven novel single nucleotide polymorphisms in the NR1I2 (PXR) gene, four of which induce non-synonymous amino acid alterations. 2002, Pubmed
Krasowski, Evolution of the pregnane x receptor: adaptation to cross-species differences in biliary bile salts. 2005, Pubmed , Xenbase
Krylova, Structural analyses reveal phosphatidyl inositols as ligands for the NR5 orphan receptors SF-1 and LRH-1. 2005, Pubmed
Laudet, Evolution of the nuclear receptor superfamily: early diversification from an ancestral orphan receptor. 1997, Pubmed
Lehmann, The human orphan nuclear receptor PXR is activated by compounds that regulate CYP3A4 gene expression and cause drug interactions. 1998, Pubmed
Lynch, The evolutionary fate and consequences of duplicate genes. 2000, Pubmed
Maglich, The first completed genome sequence from a teleost fish (Fugu rubripes) adds significant diversity to the nuclear receptor superfamily. 2003, Pubmed
Mäkinen, Modulation of mouse and human phenobarbital-responsive enhancer module by nuclear receptors. 2002, Pubmed
Makishima, Vitamin D receptor as an intestinal bile acid sensor. 2002, Pubmed
Mangelsdorf, The nuclear receptor superfamily: the second decade. 1995, Pubmed
Mizwicki, Identification of an alternative ligand-binding pocket in the nuclear vitamin D receptor and its functional importance in 1alpha,25(OH)2-vitamin D3 signaling. 2004, Pubmed
Moore, Orphan nuclear receptors constitutive androstane receptor and pregnane X receptor share xenobiotic and steroid ligands. 2000, Pubmed
Moore, Pregnane X receptor (PXR), constitutive androstane receptor (CAR), and benzoate X receptor (BXR) define three pharmacologically distinct classes of nuclear receptors. 2002, Pubmed , Xenbase
Moras, The nuclear receptor ligand-binding domain: structure and function. 1998, Pubmed
Nagpal, Noncalcemic actions of vitamin D receptor ligands. 2005, Pubmed
Nuclear Receptors Nomenclature Committee, A unified nomenclature system for the nuclear receptor superfamily. 1999, Pubmed
Pagani, Synonymous mutations in CFTR exon 12 affect splicing and are not neutral in evolution. 2005, Pubmed
Pascussi, Possible involvement of pregnane X receptor-enhanced CYP24 expression in drug-induced osteomalacia. 2005, Pubmed
Rochel, The crystal structure of the nuclear receptor for vitamin D bound to its natural ligand. 2000, Pubmed
Schuetz, Environmental xenobiotics and the antihormones cyproterone acetate and spironolactone use the nuclear hormone pregnenolone X receptor to activate the CYP3A23 hormone response element. 1998, Pubmed
Seol, An orphan nuclear hormone receptor that lacks a DNA binding domain and heterodimerizes with other receptors. 1996, Pubmed
Shan, Structure of the murine constitutive androstane receptor complexed to androstenol: a molecular basis for inverse agonism. 2004, Pubmed
Smirlis, Orphan receptor promiscuity in the induction of cytochromes p450 by xenobiotics. 2001, Pubmed
Steinmetz, Binding of ligands and activation of transcription by nuclear receptors. 2001, Pubmed
Suino, The nuclear xenobiotic receptor CAR: structural determinants of constitutive activation and heterodimerization. 2004, Pubmed
Thompson, Functional constraints on the constitutive androstane receptor inferred from human sequence variation and cross-species comparisons. 2005, Pubmed
Thornton, Resurrecting the ancestral steroid receptor: ancient origin of estrogen signaling. 2003, Pubmed
Thornton, Evolution of vertebrate steroid receptors from an ancestral estrogen receptor by ligand exploitation and serial genome expansions. 2001, Pubmed
Thummel, Transcriptional control of intestinal cytochrome P-4503A by 1alpha,25-dihydroxy vitamin D3. 2001, Pubmed
Tocchini-Valentini, Crystal structures of the vitamin D receptor complexed to superagonist 20-epi ligands. 2001, Pubmed
Tocchini-Valentini, Crystal structures of the vitamin D nuclear receptor liganded with the vitamin D side chain analogues calcipotriol and seocalcitol, receptor agonists of clinical importance. Insights into a structural basis for the switching of calcipotriol to a receptor antagonist by further side chain modification. 2004, Pubmed
Vanhooke, Molecular structure of the rat vitamin D receptor ligand binding domain complexed with 2-carbon-substituted vitamin D3 hormone analogues and a LXXLL-containing coactivator peptide. 2004, Pubmed
Wagner, Birth and death of duplicated genes in completely sequenced eukaryotes. 2001, Pubmed
Watkins, The human nuclear xenobiotic receptor PXR: structural determinants of directed promiscuity. 2001, Pubmed
Watkins, 2.1 A crystal structure of human PXR in complex with the St. John's wort compound hyperforin. 2003, Pubmed
Whitfield, Cloning of a functional vitamin D receptor from the lamprey (Petromyzon marinus), an ancient vertebrate lacking a calcified skeleton and teeth. 2003, Pubmed
Wong, Accuracy and power of statistical methods for detecting adaptive evolution in protein coding sequences and for identifying positively selected sites. 2004, Pubmed
Xie, Reciprocal activation of xenobiotic response genes by nuclear receptors SXR/PXR and CAR. 2000, Pubmed
Xie, Orphan nuclear receptors: the exotics of xenobiotics. 2001, Pubmed
Xu, A structural basis for constitutive activity in the human CAR/RXRalpha heterodimer. 2004, Pubmed
Yang, Codon-substitution models for heterogeneous selection pressure at amino acid sites. 2000, Pubmed
Yang, Statistical methods for detecting molecular adaptation. 2000, Pubmed
Yang, Likelihood ratio tests for detecting positive selection and application to primate lysozyme evolution. 1998, Pubmed
Yang, Codon-substitution models for detecting molecular adaptation at individual sites along specific lineages. 2002, Pubmed
Yang, PAML: a program package for phylogenetic analysis by maximum likelihood. 1997, Pubmed
Zanaria, An unusual member of the nuclear hormone receptor superfamily responsible for X-linked adrenal hypoplasia congenita. 1994, Pubmed
Zhang, The human pregnane X receptor: genomic structure and identification and functional characterization of natural allelic variants. 2001, Pubmed
Zhang, Frequent false detection of positive selection by the likelihood method with branch-site models. 2004, Pubmed
Zhang, Genomic analysis of the nuclear receptor family: new insights into structure, regulation, and evolution from the rat genome. 2004, Pubmed