Click here to close
Hello! We notice that you are using Internet Explorer, which is not supported by Xenbase and may cause the site to display incorrectly.
We suggest using a current version of Chrome,
FireFox, or Safari.
Front Cell Neurosci
2012 Sep 11;6:37. doi: 10.3389/fncel.2012.00037.
Show Gene links
Show Anatomy links
Pressure-selective modulation of NMDA receptor subtypes may reflect 3D structural differences.
Mor A
,
Kuttner YY
,
Levy S
,
Mor M
,
Hollmann M
,
Grossman Y
.
???displayArticle.abstract???
Professional deep-water divers exposed to high pressure (HP) above 1.1 MPa suffer from High Pressure Neurological Syndrome (HPNS), which is associated with CNS hyperexcitability. We have previously reported that HP augments N-methyl-D-aspartate receptor (NMDAR) synaptic responses, increases neuronal excitability, and potentially causes irreversible neuronal damage. We now report that HP (10.1 MPa) differentially affects eight specific NMDAR subtypes. GluN1(1a or 1b) was co-expressed with one of the four GluN2(A-D) subunits in Xenopus laevis oocytes. HP increased ionic currents (measured by two electrode voltage clamps) of one subtype, reduced the current in four others, and did not affect the current in the remaining three. 3D theoretical modeling was aimed at revealing specific receptor domains involved with HP selectivity. In light of the information on the CNS spatial distribution of the different NMDAR subtypes, we conclude that the NMDAR's diverse responses to HP may lead to selective HP effects on different brain regions. These discoveries call for further and more specific investigation of deleterious HP effects and suggest the need for a re-evaluation of deep-diving safety guidelines.
Figure 1. Confirmation of NMDAR expression in Xenopus laevis oocytes. Top: increasing extracellular [Mg2+] blocked NMDAR ionic current in a concentration-dependent manner (expected for all wild-type NMDARs). Bottom: activation of NMDAR requires simultaneous application of the co-agonists glutamate (100 μM) and glycine (10 μM), with no [Mg2+]o added. Agonist application time was 20 s (horizontal bars). GluN1-1b + GluN2B currents are shown as an example. The same measurements were performed with the other subunit combinations, confirming NMDAR currents in each case.
Figure 2. High pressure (HP) effects on GluN2A and GluN2B NMDAR subtypes. (A) HP selectively modulates currents of GluN2A subtypes. Top: HP augments GluN1-1a + GluN2A current. Bottom: HP decreases GluN1-1b + GluN2A current. (B) GluN2B subtypes GluN1-1a + GluN2B and GluN1-1b + GluN2B are not affected by HP. For all traces: The applied agonist concentrations were 100 μM (glutamate) and 10 μM (glycine) with no [Mg2+]o added. The 20 s agonist application time is indicated by horizontal bars. The HP effect is reversed after full decompression for all subtypes.
Figure 3. HP effects on GluN2C and GluN2D NMDAR subtypes. (A) HP differentially modulates GluN2C subtype currents. Top: HP moderately decreases GluN1-1a + GluN2C current. Bottom: HP greatly decreases GluN1-1b + GluN2C current. Note only partial recovery of the response. (B) HP selectively modulates GluN2D subtype currents. Top: GluN1-1a + GluN2D seem to be “pressure-resistant.” Bottom: HP decreases GluN1-1b + GluN2D current. Note complete recovery after a full decompression. For all traces: the applied agonist concentrations were 100 μM (glutamate) and 10 μM (glycine) with no [Mg2+]o added. The 20 s agonist application time is indicated by horizontal bars.
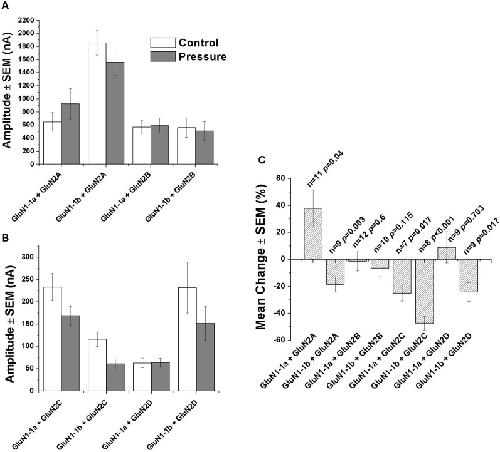
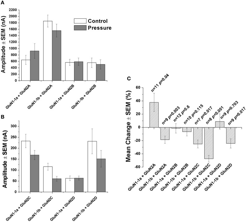
Figure 4. Statistical analysis of NMDAR currents. (A) Mean current amplitude under control and hyperbaric conditions (GluN1-1a or GluN1-1b with GluN2A or GluN2B). (B) Mean current amplitude under control and hyperbaric conditions (GluN1-1a or GluN1-1b with GluN2C or GluN2D). (C) Mean % change of amplitude (calculated for each pair of measurements and averaged). “Control,” 0.1–0.3 MPa; “Pressure,” 10.1 MPa; n, number of experiments (oocytes); p, degree of statistical significance; SEM, standard error of mean. Statistical tests: paired t-test (0.1–0.3 MPa vs. 10.1 MPa).
Figure 5. GluN1 and GluN2 sequence alignments and GluN1 NTD predicted structures. (A) Sequence alignment of GluN1-1a vs. GluN1-1b. The only difference between the two subunits is the extra 21 amino acids in the GluN1-1b NTD. s, Serine; “+,” positive charge residue; “–,” negative charge residue; l, hydrophilic; b, hydrophobic; a, aromatic. (B) Consensus and variation regions of the four GluN2 subunits. Summarized are the results of the multiple sequence alignments of GluN2A, B, C, and D using Clustal W (Larkin et al., 2007). Each black line represents a sequence homology of at least two of the four compared sequences. Line length represents the consensus level. As expected, the LBD is the most conserved. Blank areas represent the absence of sequence homology. (C) GluN1-GluN2 dimer model. Red square frame indicates GluN1 NTD. (D) Predicted GluN1 NTD tertiary structures. GluN1-1a (red) and GluN1-1b (blue) are superimposed. The orange arrow indicates the loop of the extra 21 amino acids of GluN1-1b. Note that this loop points away from the structure. The figure was created using PyMOL Molecular Graphics System, Version 1.2r3pre, Schrödinger, LLC. NTD, N-terminus domain; LBD, ligand binding domain; TMD-CTD, transmembrane domain and C-terminus domain.
Figure 6. Predicted dimer structures. (A) GluN1 homodimers. Left (red)—A 3D model of GluN1-1a↔GluN1-1a NTD interactions. Right (blue)—A 3D model of GluN1-1b↔GluN1-1b NTD interactions (manual docking). Box—the extra 21 amino–acid-loop (exon 5). This structure might interfere with the interaction of GluN1-1b subunits. Broken lines indicate the cleft. Arrows represent the cleft's direction. (B) GluN1-GluN2 heterodimer 3D structures. Left—docking of GluN1-1a NTD (red) to GluN2A NTD (green). Right—docking of GluN1-1b NTD (blue) to GluN2A NTD (green). Note that the loop of 21 extra amino acids in GluN1-1b (orange box) faces out and does not interfere with sub-domain interaction. The figure was created using PyMOL.
Aviner,
Hyperbaric pressure effects on voltage-dependent Ca+2 channels: relevance to HPNS.
2010, Pubmed,
Xenbase
Aviner,
Hyperbaric pressure effects on voltage-dependent Ca+2 channels: relevance to HPNS.
2010,
Pubmed
,
Xenbase
Brauer,
Intra- and interspecies variability of vertebrate high-pressure neurological syndrome.
1974,
Pubmed
Collingridge,
A nomenclature for ligand-gated ion channels.
2009,
Pubmed
Cull-Candy,
NMDA receptor subunits: diversity, development and disease.
2001,
Pubmed
Dravid,
Activation of recombinant NR1/NR2C NMDA receptors.
2008,
Pubmed
Fagni,
Helium pressure potentiates the N-methyl-D-aspartate- and D,L-homocysteate-induced decreases of field potentials in the rat hippocampal slice preparation.
1987,
Pubmed
Fagni,
A study of spontaneous and evoked activity in the rat hippocampus under helium-oxygen high pressure.
1985,
Pubmed
Furukawa,
Subunit arrangement and function in NMDA receptors.
2005,
Pubmed
Harding,
Personality as a predisposing factor for DCI: a pilot study.
2012,
Pubmed
Heinemann,
Single acetylcholine receptor channel currents recorded at high hydrostatic pressures.
1987,
Pubmed
Karakas,
Structure of the zinc-bound amino-terminal domain of the NMDA receptor NR2B subunit.
2009,
Pubmed
,
Xenbase
Kiefer,
The SWISS-MODEL Repository and associated resources.
2009,
Pubmed
Larkin,
Clustal W and Clustal X version 2.0.
2007,
Pubmed
Laskowski,
PDBsum more: new summaries and analyses of the known 3D structures of proteins and nucleic acids.
2005,
Pubmed
Leonard,
Apparent desensitization of NMDA responses in Xenopus oocytes involves calcium-dependent chloride current.
1990,
Pubmed
,
Xenbase
Monyer,
Developmental and regional expression in the rat brain and functional properties of four NMDA receptors.
1994,
Pubmed
Mor,
Modulation of isolated N-methyl-d-aspartate receptor response under hyperbaric conditions.
2006,
Pubmed
Mor,
High pressure modulation of NMDA receptor dependent excitability.
2007,
Pubmed
Mor,
Differential effect of high pressure on NMDA receptor currents in Xenopus laevis oocytes.
2008,
Pubmed
,
Xenbase
Mor,
The efficacy of physiological and pharmacological N-methyl-D-aspartate receptor block is greatly reduced under hyperbaric conditions.
2010,
Pubmed
Ng,
Neto1 is a novel CUB-domain NMDA receptor-interacting protein required for synaptic plasticity and learning.
2009,
Pubmed
Paoletti,
Molecular basis of NMDA receptor functional diversity.
2011,
Pubmed
Paoletti,
Molecular organization of a zinc binding n-terminal modulatory domain in a NMDA receptor subunit.
2000,
Pubmed
,
Xenbase
Rumbaugh,
Exon 5 and spermine regulate deactivation of NMDA receptor subtypes.
2000,
Pubmed
Sack,
Periplasmic binding protein structure and function. Refined X-ray structures of the leucine/isoleucine/valine-binding protein and its complex with leucine.
1989,
Pubmed
Schmidt,
Apparent homomeric NR1 currents observed in Xenopus oocytes are caused by an endogenous NR2 subunit.
2008,
Pubmed
,
Xenbase
Schneidman-Duhovny,
PatchDock and SymmDock: servers for rigid and symmetric docking.
2005,
Pubmed
Traynelis,
Control of proton sensitivity of the NMDA receptor by RNA splicing and polyamines.
1995,
Pubmed
,
Xenbase
Traynelis,
Control of voltage-independent zinc inhibition of NMDA receptors by the NR1 subunit.
1998,
Pubmed
,
Xenbase
Traynelis,
Glutamate receptor ion channels: structure, regulation, and function.
2010,
Pubmed
Wyneken,
Electrophysiology and plasticity in isolated postsynaptic densities.
2004,
Pubmed