Click here to close
Hello! We notice that you are using Internet Explorer, which is not supported by Xenbase and may cause the site to display incorrectly.
We suggest using a current version of Chrome,
FireFox, or Safari.
Int J Mol Sci
2018 Sep 13;199:. doi: 10.3390/ijms19092742.
Show Gene links
Show Anatomy links
Concatenation of Human Connexin26 (hCx26) and Human Connexin46 (hCx46) for the Analysis of Heteromeric Gap Junction Hemichannels and Heterotypic Gap Junction Channels.
Schadzek P
,
Hermes D
,
Stahl Y
,
Dilger N
,
Ngezahayo A
.
???displayArticle.abstract???
Gap junction channels and hemichannels formed by concatenated connexins were analyzed. Monomeric (hCx26, hCx46), homodimeric (hCx46-hCx46, hCx26-hCx26), and heterodimeric (hCx26-hCx46, hCx46-hCx26) constructs, coupled to GFP, were expressed in HeLa cells. Confocal microscopy showed that the tandems formed gap junction plaques with a reduced plaque area compared to monomeric hCx26 or hCx46. Dye transfer experiments showed that concatenation allows metabolic transfer. Expressed in Xenopus oocytes, the inside-out patch-clamp configuration showed single channels with a conductance of about 46 pS and 39 pS for hemichannels composed of hCx46 and hCx26 monomers, respectively, when chloride was replaced by gluconate on both membrane sides. The conductance was reduced for hCx46-hCx46 and hCx26-hCx26 homodimers, probably due to the concatenation. Heteromerized hemichannels, depending on the connexin-order, were characterized by substates at 26 pS and 16 pS for hCx46-hCx26 and 31 pS and 20 pS for hCx26-hCx46. Because of the linker between the connexins, the properties of the formed hemichannels and gap junction channels (e.g., single channel conductance) may not represent the properties of hetero-oligomerized channels. However, should the removal of the linker be successful, this method could be used to analyze the electrical and metabolic selectivity of such channels and the physiological consequences for a tissue.
Figure 1. Structural organization of connexins and gap junctions. A gap junction channel is composed of two hemichannels or connexons, which consist of six connexins. Connexins have four transmembrane domains (TM), two extracellular loops (EL), one cytoplasmatic loop (CL), as well an intracellularly localized N- and C-terminus. Homomeric connexons and homotypic gap junction channels are formed by a single connexin isoform. In the postulated heteromeric connexons and heterotypic gap junction channels, different connexin isoforms are expected. The lower right pictogram shows the constructed concatemeric connexins as heterodimeric tandem.
Figure 2. Expression of the GFP-labeled monomeric and concatemeric connexins in HeLa cells. (A) Representative micrographs of cell pairs expressing GFP-labeled hCx46, hCx26, hCx46-hCx46, hCx26-hCx26, hCx46-hCx26, and hCx26-hCx46 are shown. The cells were imaged 24 h after transfection using a confocal laser scanning microscope. The nuclei (blue) were stained with Hoechst 33342. Gap junction plaques are indicated by arrows. Gap junction plaques were found in HeLa cells expressing hCx46, hCx26, and the four different tandems. In cells expressing the tandems, a trend to accumulate the proteins in intracellular organelles was observed. (B) Quantification of the gap junction plaque area formed by the monomers and the four different tandems in HeLa cells. The plaque area was calculated using the particle analyzer of ImageJ and normalized to the number of transfected cell pairs. At least three transfections were performed per construct. The results are given as average plaque area per cell pair [µm2]. Error bars represent the SEM. The data were evaluated by a one-way ANOVA and a post-hoc Tukey test (** p ⤠0.01, *** p ⤠0.001) in comparison to hCx46 and hCx26 (### p ⤠0.001). (C) Quantification of the relative protein amount in HeLa cells expressing the monomeric hCx46-GFP or the homodimeric hCx46-hCx46-GFP. An anti-Cx46 antibody was used for the western blotting. For the quantification, four independent replicates were analyzed by using the gel analyzer tool of the FiJi software [32]. The data was normalized to the intensity of the hCx46 monomer.
Figure 3. Analyzing the gap junction functionality by dye transfer experiments. A whole-cell patch-clamp configuration with a pipette solution containing 1 mg/mL Lucifer yellow was established on a HeLa cell pair expressing GFP-labelled monomeric hCx26 or hCx46 or one of the concatemeric variants. Mock transfected cells were used as control. The first row of the micrographs shows the phase contrast images of example experiments. In the second row, the GFP fluorescence signal before a dye transfer experiment is shown. The third and fourth rows show the fluorescence signal of the tracer dye 5 min and 10 min after establishment of the whole cell configuration. For the sake of clarity, the image in the fourth row was taken after removal of the dye filled capillary. Likewise, the experiments were performed with N2A cells. The cells were transfected with IRES-GFP constructs resulting in the expression of untagged constructs in the membrane and GFP in the cytosol. As control, cells expressing only GFP were used. The experiments were performed with a pipette solution containing 1 mg/mL AMCA, which could easily be distinguished from GFP under the fluorescence microscope. The cells were considered as coupled if the fluorescence intensity, which was measured in the unpatched cell of a cell pair after 10 min, was at least twice as bright as the background, which was measured at the beginning of the experiment. The probability of coupling (bar diagrams) was estimated as ratio of the sum of coupled cell pairs per the sum of tested pairs. The results are given as average. Error bars represent the SEM. The data were evaluated by a one-way ANOVA and post-hoc Tukey test (* p ⤠0.05, ** p ⤠0.01, *** p ⤠0.01) in comparison to the control cells.
Figure 4. Analysis of single hemichannels formed by concatemeric connexins. The stripped membrane of Xenopus oocytes, which were injected with hCx46, hCx26, or the four different concatemeric constructs, as well as the AS38 (control) cRNA 24 h before, was used to perform the inside-out patch-clamp recordings. The measurements were performed in presence of Cs+ and in absence of Cl− on both sides of the membrane. (A) Examples of single channel currents elicited by a depolarizing voltage pulse of +50 mV in absence of Ca2+ in the bath solution are shown. (B) The open probability of all measured single channels was analyzed. The error bars represent the SEM. The data were evaluated by a one-way ANOVA followed by a Tukey test (* p ≤ 0.05, ** p ≤ 0.01, *** p ≤ 0.001, ns: not significant). The statistical comparison showed that the presence of Ca2+ or carbenoxolone (CBX) in the bath solution significantly reduced the open probability of all tested variants.
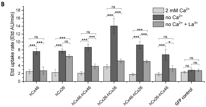
Figure 5. Dye uptake through hemichannels using ethidium bromide. HeLa cells were grown on coverslips to a confluency of about 40–50% and transfected with IRES-GFP-plasmids. The GFP allowed the identification of transfected cells by fluorescent microscopy. (A) Time course of dye uptake experiments by cells expressing the different variants when perfused with bath solutions containing 2 mM Ca2+, no Ca2+, and no Ca2+ but 1 mM La3+. The fine lines show the SEM spread for all measured points. The symbols indicate the average for data points measured every 1 min. The solid lines indicate the part of the curves that was used to estimate the dye uptake rate. (B) Quantification of the dye uptake rate (Etd AU/min) for all tested variants and the backbone control in absence or presence of Ca2+ or La3+. The error bars represent the SEM. The data were evaluated by a one-way ANOVA and a post-hoc Tukey test (* p ≤ 0.05, *** p ≤ 0.001, ns: not significant).
Figure 6. Recordings of dual whole-cell patch-clamp experiments. N2A cells were cultured and transfected with the different IRES-GFP-plasmids. As control, cells expressing only soluble GFP in the cytosol were used. Twenty-four hours post transfection, the dual whole-cell patch-clamp experiments were performed. The resting membrane potential was set to â40 mV for both cells. One cell of a cell pair was alternatingly stepped from â120 mV to +60 mV, while the junctional currents were recorded in the other cell. The junctional currents (ÎI2) recorded during the 250 ms-long voltage pulses at different transjunctional potentials are shown above the current responses. Magnification of the Vj +70 mV traces of the hCx46 monomer, as well as of the hCx46-hCx46 homodimer, showed several simultaneously open channels, with a large conductance of ~193 pS (13.5 pA step), and low conductance of ~72 pS (5.05 pA step) and ~121 pS (8.49 pA step). Similar steps were observed for Cx46 by other authors [38,39,40,41]. The control cells showed only the background noise, which was below 2 pA (grey band), indicating that the fluctuations of about 5 pA were conducting substates.
Ahring,
Concatenated nicotinic acetylcholine receptors: A gift or a curse?
2018, Pubmed,
Xenbase
Ahring,
Concatenated nicotinic acetylcholine receptors: A gift or a curse?
2018,
Pubmed
,
Xenbase
Bai,
Extracellular domains play different roles in gap junction formation and docking compatibility.
2014,
Pubmed
Bai,
Crucial motifs and residues in the extracellular loops influence the formation and specificity of connexin docking.
2018,
Pubmed
Bao,
Connexins are mechanosensitive.
2004,
Pubmed
,
Xenbase
Baumann,
Subunit arrangement of gamma-aminobutyric acid type A receptors.
2001,
Pubmed
,
Xenbase
Bedner,
Selective permeability of different connexin channels to the second messenger cyclic AMP.
2006,
Pubmed
Bennett,
Biophysics of gap junctions.
1992,
Pubmed
Chiu,
A quantized mechanism for activation of pannexin channels.
2017,
Pubmed
Contreras,
Gating and regulation of connexin 43 (Cx43) hemichannels.
2003,
Pubmed
Das,
ERp29 restricts Connexin43 oligomerization in the endoplasmic reticulum.
2009,
Pubmed
Desplantez,
Relating specific connexin co-expression ratio to connexon composition and gap junction function.
2015,
Pubmed
Dieriks,
Spatiotemporal behavior of nuclear cyclophilin B indicates a role in RNA transcription.
2012,
Pubmed
Diez,
Assembly of heteromeric connexons in guinea-pig liver en route to the Golgi apparatus, plasma membrane and gap junctions.
1999,
Pubmed
Ebihara,
Properties of connexin 46 hemichannels in dissociated lens fiber cells.
2011,
Pubmed
,
Xenbase
Gassmann,
The M34A mutant of Connexin26 reveals active conductance states in pore-suspending membranes.
2009,
Pubmed
Gubbels,
Functional auditory hair cells produced in the mammalian cochlea by in utero gene transfer.
2008,
Pubmed
Hamill,
Improved patch-clamp techniques for high-resolution current recording from cells and cell-free membrane patches.
1981,
Pubmed
Hopperstad,
Properties of gap junction channels formed by Cx46 alone and in combination with Cx50.
2000,
Pubmed
Hu,
Exchange of conductance and gating properties between gap junction hemichannels.
1999,
Pubmed
,
Xenbase
Isakson,
Laminin-332 alters connexin profile, dye coupling and intercellular Ca2+ waves in ciliated tracheal epithelial cells.
2006,
Pubmed
Jara,
Critical role of the first transmembrane domain of Cx26 in regulating oligomerization and function.
2012,
Pubmed
Karademir,
Engineered Cx26 variants established functional heterotypic Cx26/Cx43 and Cx26/Cx40 gap junction channels.
2016,
Pubmed
Koval,
Mix and match: investigating heteromeric and heterotypic gap junction channels in model systems and native tissues.
2014,
Pubmed
Koval,
Connexin46 is retained as monomers in a trans-Golgi compartment of osteoblastic cells.
1997,
Pubmed
Laird,
Comparative analysis and application of fluorescent protein-tagged connexins.
2001,
Pubmed
Laird,
The gap junction proteome and its relationship to disease.
2010,
Pubmed
Leithe,
The connexin 43 C-terminus: A tail of many tales.
2018,
Pubmed
Maeda,
Structure of the gap junction channel and its implications for its biological functions.
2011,
Pubmed
Maeda,
Structure of the connexin 26 gap junction channel at 3.5 A resolution.
2009,
Pubmed
Martínez,
Different domains are critical for oligomerization compatibility of different connexins.
2011,
Pubmed
Mese,
The Cx26-G45E mutation displays increased hemichannel activity in a mouse model of the lethal form of keratitis-ichthyosis-deafness syndrome.
2011,
Pubmed
Musil,
Multisubunit assembly of an integral plasma membrane channel protein, gap junction connexin43, occurs after exit from the ER.
1993,
Pubmed
,
Xenbase
Nakagawa,
Asparagine 175 of connexin32 is a critical residue for docking and forming functional heterotypic gap junction channels with connexin26.
2011,
Pubmed
Neijssen,
Cross-presentation by intercellular peptide transfer through gap junctions.
2005,
Pubmed
Neyton,
Single-channel currents of an intercellular junction.
,
Pubmed
Ngezahayo,
Inactivation of expressed and conducting rCx46 hemichannels by phosphorylation.
1998,
Pubmed
,
Xenbase
Ngezahayo,
Regulation of ion fluxes, cell volume and gap junctional coupling by cGMP in GFSHR-17 granulosa cells.
2003,
Pubmed
,
Xenbase
Niessen,
Selective permeability of different connexin channels to the second messenger inositol 1,4,5-trisphosphate.
2000,
Pubmed
Oh,
Molecular determinants of electrical rectification of single channel conductance in gap junctions formed by connexins 26 and 32.
1999,
Pubmed
Oh,
Voltage regulation of connexin channel conductance.
2015,
Pubmed
Paul,
Connexin46, a novel lens gap junction protein, induces voltage-gated currents in nonjunctional plasma membrane of Xenopus oocytes.
1991,
Pubmed
,
Xenbase
Raynauld,
The silver-silver chloride electrode: a possible generator of offset voltages and currents.
1987,
Pubmed
Sánchez,
Differentially altered Ca2+ regulation and Ca2+ permeability in Cx26 hemichannels formed by the A40V and G45E mutations that cause keratitis ichthyosis deafness syndrome.
2010,
Pubmed
,
Xenbase
Schadzek,
The cataract related mutation N188T in human connexin46 (hCx46) revealed a critical role for residue N188 in the docking process of gap junction channels.
2016,
Pubmed
,
Xenbase
Schadzek,
Data of the molecular dynamics simulations of mutations in the human connexin46 docking interface.
2016,
Pubmed
Schalper,
Connexin hemichannel composition determines the FGF-1-induced membrane permeability and free [Ca2+]i responses.
2008,
Pubmed
Schindelin,
Fiji: an open-source platform for biological-image analysis.
2012,
Pubmed
Schlingmann,
The role of the C-terminus in functional expression and internalization of rat connexin46 (rCx46).
2013,
Pubmed
,
Xenbase
Schlingmann,
Cataract-associated D3Y mutation of human connexin46 (hCx46) increases the dye coupling of gap junction channels and suppresses the voltage sensitivity of hemichannels.
2012,
Pubmed
,
Xenbase
Sigel,
Use of concatamers to study GABAA receptor architecture and function: application to delta-subunit-containing receptors and possible pitfalls.
2009,
Pubmed
Slavi,
Identification and Functional Assessment of Age-Dependent Truncations to Cx46 and Cx50 in the Human Lens.
2016,
Pubmed
Slavi,
Connexin 46 (cx46) gap junctions provide a pathway for the delivery of glutathione to the lens nucleus.
2014,
Pubmed
,
Xenbase
Söhl,
Gap junctions and the connexin protein family.
2004,
Pubmed
,
Xenbase
Sorgen,
Structural changes in the carboxyl terminus of the gap junction protein connexin43 indicates signaling between binding domains for c-Src and zonula occludens-1.
2004,
Pubmed
Srinivas,
Correlative studies of gating in Cx46 and Cx50 hemichannels and gap junction channels.
2005,
Pubmed
,
Xenbase
Stoop,
Contribution of individual subunits to the multimeric P2X(2) receptor: estimates based on methanethiosulfonate block at T336C.
1999,
Pubmed
,
Xenbase
Suchyna,
Different ionic selectivities for connexins 26 and 32 produce rectifying gap junction channels.
1999,
Pubmed
,
Xenbase
Trexler,
Voltage gating and permeation in a gap junction hemichannel.
1996,
Pubmed
,
Xenbase
Trexler,
The first extracellular loop domain is a major determinant of charge selectivity in connexin46 channels.
2000,
Pubmed
,
Xenbase
Walter,
Phosphorylation in the C-terminus of the rat connexin46 (rCx46) and regulation of the conducting activity of the formed connexons.
2008,
Pubmed
,
Xenbase
White,
Functional analysis of selective interactions among rodent connexins.
1995,
Pubmed
,
Xenbase