Click here to close
Hello! We notice that you are using Internet Explorer, which is not supported by Xenbase and may cause the site to display incorrectly.
We suggest using a current version of Chrome,
FireFox, or Safari.
Toxicol Rep
2020 Dec 24;8:38-43. doi: 10.1016/j.toxrep.2020.12.009.
Show Gene links
Show Anatomy links
4-Methylcyclohexane methanol (MCHM) affects viability, development, and movement of Xenopus embryos.
Perfetto M
,
Kirkham SG
,
Ayers MC
,
Wei S
,
Gallagher JEG
.
???displayArticle.abstract???
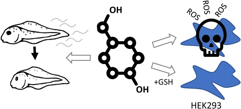
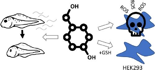
Following chemical spill disasters, it is important to estimate the effects of spilled chemicals on humans and the environment. Here we analyzed the toxicological effects of the coal cleaning chemical, 4-methylcyclohexane methanol (MCHM), which was spilled into the Elk River water supply in 2014. The viability of HEK293 T human cell line cultures and Xenopus tropicalis embryos was negatively affected, and the addition of the antioxidants alleviated toxicity with MCHM exposure. Additionally, X. tropicalis embryos suffered developmental defects as well as reversible non-responsiveness and melanization defects. The impact MCHM has on HEK293 T cells and X. tropicalis points to the importance of continued follow-up studies of this chemical.
Fig. 1. Effects of MCHM on human HEK293 T cells and Xenopus tropicalis embryos viability. A. Viability of HEK293 T cells as indicated by the MTT assay treated with an increasing amount of MCHM together with various chemicals indicated in the graph. The average and standard error are graphed. Viability in control at 0 ppm of MCHM is marked with a blue dashed line. Viability in control at 10 ppm of MCHM is marked with a green dashed line. Viability in control at 100 ppm of MCHM is marked with an orange dashed line (N = 4). B. The number of HEK293 T cells with an increasing amount of MCHM supplemented with 1 mM or 10 mM GSH. C. X. tropicalis embryos were treated with 100 ppm MCHM or 100 ppm MCHM supplemented with 10 mM GSH at NF stage 19 (n = 400 per sample, N = 4). D. Stage 19 embryos untreated, treated with 1000 ppm MCHM, or 1000 ppm MCHM supplemented with 10 mM GSH starting at NF stage 2 (n = 300 per sample, N = 3), the red scale bar is 2 mm; * p ≤ 0.05; ** p ≤ 0.01.
Fig. 2. Non-responsive embryos over a 60-minute incubation with MCHM. A. Stage ∼35 embryos were treated with the indicated concentration of MCHM, and responses to gentle touching were recorded as described in Materials and Methods (n = 250 per sample, N = 5). B. Quantitation of movement with different concentrations of lidocaine benzocaine, and MCHM with concentrations indicated in ppm after one hour of incubation (n = 60 per sample, N = 3).
Fig. 3. Developmental defects displayed by surviving embryos with MCHM, benzocaine, and lidocaine. A. Xenopus embryo morphology at the indicated stages are shown when cultured in 100âppm MCHM at NF stage 19 (nâ=â400 per sample, Nâ=â4). B. Xenopus embryo morphologies when cultured in different concentrations of MCHM. C. Xenopus embryo morphologies when cultured in different concentrations of benzocaine. D. Xenopus embryo morphologies when cultured in different concentrations of lidocaine. For B-D, nâ=â60 per sample, Nâ=â3.
Figure S2 Developmental defects observed in the snai2:eGFP transgenic Xenopus tropicalis line. X. tropicalis embryos were cultured in 0, 1, and 10ppm MCHM from NF stage 2 and observed at stage 40 (n=90 per sample, N=3).
Ayer,
Cellular redox homeostasis, reactive oxygen species and replicative ageing in Saccharomyces cerevisiae.
2014, Pubmed
Ayer,
Cellular redox homeostasis, reactive oxygen species and replicative ageing in Saccharomyces cerevisiae.
2014,
Pubmed
Ayers,
Oxidative Stress Responses and Nutrient Starvation in MCHM Treated Saccharomyces cerevisiae.
2020,
Pubmed
Bantle,
FETAX interlaboratory validation study: phase III--Part 1 testing.
1996,
Pubmed
,
Xenbase
Benson,
The 2014 crude 4-methylcyclohexanemethanol chemical release and birth outcomes in West Virginia.
2018,
Pubmed
Bharti,
The other pigment cell: specification and development of the pigmented epithelium of the vertebrate eye.
2006,
Pubmed
Couto,
The role of glutathione reductase and related enzymes on cellular redox homoeostasis network.
2016,
Pubmed
Cuozzo,
Competition between glutathione and protein thiols for disulphide-bond formation.
1999,
Pubmed
Foreman,
Determination of (4-methylcyclohexyl)methanol isomers by heated purge-and-trap GC/MS in water samples from the 2014 Elk River, West Virginia, chemical spill.
2015,
Pubmed
Gallagher,
The Polymorphic PolyQ Tail Protein of the Mediator Complex, Med15, Regulates the Variable Response to Diverse Stresses.
2020,
Pubmed
Han,
In vitro cytotoxicity assessment of a West Virginia chemical spill mixture involving 4-methylcyclohexanemethanol and propylene glycol phenyl ether.
2017,
Pubmed
Hayes,
Dual roles for ATP in the regulation of phase separated protein aggregates in Xenopus oocyte nucleoli.
2018,
Pubmed
,
Xenbase
Hollmann,
Local anesthetic inhibition of m1 muscarinic acetylcholine signaling.
2000,
Pubmed
,
Xenbase
Horzmann,
Comparative analytical and toxicological assessment of methylcyclohexanemethanol (MCHM) mixtures associated with the Elk River chemical spill.
2017,
Pubmed
Kang,
ATP enhances at low concentrations but dissolves at high concentrations liquid-liquid phase separation (LLPS) of ALS/FTD-causing FUS.
2018,
Pubmed
Kumasaka,
Regulation of melanoblast and retinal pigment epithelium development by Xenopus laevis Mitf.
2005,
Pubmed
,
Xenbase
Lan,
Toxicity Assessment of 4-Methyl-1-cyclohexanemethanol and Its Metabolites in Response to a Recent Chemical Spill in West Virginia, USA.
2015,
Pubmed
Li,
A new transgenic reporter line reveals Wnt-dependent Snai2 re-expression and cranial neural crest differentiation in Xenopus.
2019,
Pubmed
,
Xenbase
Lin,
Formation and Maturation of Phase-Separated Liquid Droplets by RNA-Binding Proteins.
2015,
Pubmed
Patel,
ATP as a biological hydrotrope.
2017,
Pubmed
Phetxumphou,
Subtleties of human exposure and response to chemical mixtures from spills.
2016,
Pubmed
Pupo,
MCHM Acts as a Hydrotrope, Altering the Balance of Metals in Yeast.
2020,
Pubmed
Pupo,
Effects of MCHM on yeast metabolism.
2019,
Pubmed
Rong-Mullins,
Proteomic and genetic analysis of the response of S. cerevisiae to soluble copper leads to improvement of the antimicrobial function of cellulosic copper nanoparticles.
2017,
Pubmed
Schade,
Self-reported household impacts of large-scale chemical contamination of the public water supply, Charleston, West Virginia, USA.
2015,
Pubmed
Sekito,
Tributyltin induces cell cycle arrest at G1 phase in the yeast Saccharomyces cerevisiae.
2014,
Pubmed
Tokuoka,
The mood stabilizer valproate inhibits both inositol- and diacylglycerol-signaling pathways in Caenorhabditis elegans.
2008,
Pubmed
Toledano,
Functions and cellular compartmentation of the thioredoxin and glutathione pathways in yeast.
2013,
Pubmed
Waszkielewicz,
Ion channels as drug targets in central nervous system disorders.
2013,
Pubmed
Wei,
ADAM13 induces cranial neural crest by cleaving class B Ephrins and regulating Wnt signaling.
2010,
Pubmed
,
Xenbase
Weidhaas,
A case study for orphaned chemicals: 4-methylcyclohexanemethanol (MCHM) and propylene glycol phenyl ether (PPH) in riverine sediment and water treatment processes.
2017,
Pubmed
Weidhaas,
Enabling Science Support for Better Decision-Making when Responding to Chemical Spills.
2016,
Pubmed
Whelton,
Residential tap water contamination following the Freedom Industries chemical spill: perceptions, water quality, and health impacts.
2015,
Pubmed
Winans,
Metallomic and lipidomic analysis of S. cerevisiae response to cellulosic copper nanoparticles uncovers drivers of toxicity.
2020,
Pubmed