Click here to close
Hello! We notice that you are using Internet Explorer, which is not supported by Xenbase and may cause the site to display incorrectly.
We suggest using a current version of Chrome,
FireFox, or Safari.
Physiol Rep
2021 Jun 01;911:e14866. doi: 10.14814/phy2.14866.
Show Gene links
Show Anatomy links
Further evidence for functional recovery of AQP2 mutations associated with nephrogenic diabetes insipidus.
Bissonnette P
,
Lussier Y
,
Matar J
,
Leduc-Nadeau A
,
Da Cal S
,
Arthus MF
,
Unwin RJ
,
Steinke J
,
Rangaswamy D
,
Bichet DG
.
???displayArticle.abstract???
Aquaporin-2 (AQP2) is a homotetrameric water channel responsible for the final water reuptake in the kidney. Disease-causing AQP2 mutations induce nephrogenic diabetes insipidus (NDI), a condition that challenges the bodily water balance by producing large urinary volumes. In this study, we characterize three new AQP2 mutations identified in our lab from NDI patients (A120D, A130V, T179N) along the previously reported A47V variant. Using Xenopus oocytes, we compared the key functional and biochemical features of these mutations against classical recessive (R187C) and dominant (R254Q) forms, and once again found clear functional recovery features (increased protein stability and function) for all mutations under study. This behaviour, attributed to heteromerization to wt-AQP2, challenge the classical model to NDI which often depicts recessive mutations as ill-structured proteins unable to oligomerize. Consequently, we propose a revised model to the cell pathophysiology of AQP2-related NDI which accounts for the functional recovery of recessive AQP2 mutations.
FIGURE 1. Family pedigrees and location of four mutations in study. (a) Pedigree of three families with congenital nephrogenic diabetes insipidus probands showing homozygosity for A120D, compound heterozygosity for A130V/A47V, and heterozygosity for T179N. (b) Positioning of the four mutations in study within the reported structure of AQP2 (top and side views). Sections in red represent alpha helices segments participating in interunit association.
FIGURE 2. Expression of AQP2 variants in oocytes. Functionality determinations (a) along corresponding Western Blot (b) from a typical experiment (oocyte batch). Oocytes were injected with equivalent amounts of mRNAs for each AQP2 variants (0.5 ng) and incubated for 24 h prior to testing. (a) Specific Pf values are in % ± SD of wtâAQP2 with n = 6 to 8 oocytes for each variant. Activity levels of all variants were similar to Ctrl (see statistics in supporting information). (b) Typical double bands (29 kDa (*) and 31 kDa (**) labeling for nonâglycosylated and highâmannose forms, respectively, with 25 kDa MW marker indicated) are found for A47V, A130V and T179N. Note that although faint, the double bands are also found for A120D in overexposed blot.
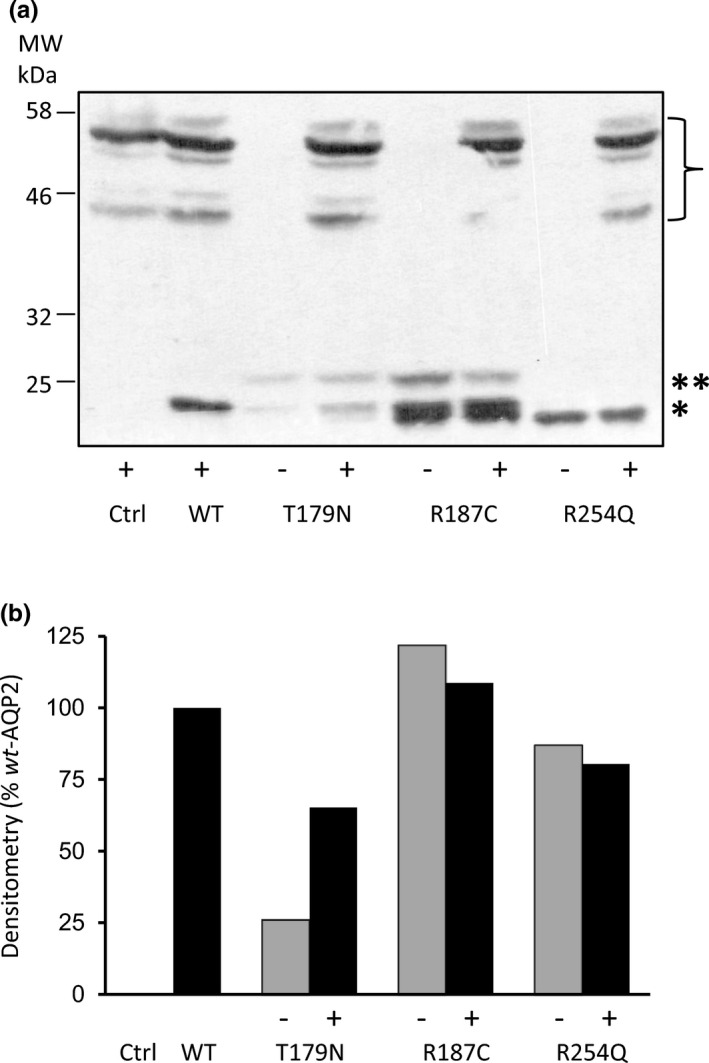
FIGURE 3. Functional analysis of T179NâAQP2 in wt/mutant conditions. Oocytes were injected with 0.5 ng mRNA coding for WT, T179N, R187C and R254Q either in absence (â) or presence (+) of same amount of wtâAQP2 and incubated for 24 h prior to water permeability measurements. Activities are presented in % ± SD of wtâAQP2, with n â¥Â 6 for each condition. (a) Total activity in single (â) and dual expressions (+). (b) Specific activity for single (Ctrl value subtracted from all (â) expressions), and double (wtâAQP2 value subtracted from all (+) expressions) conditions. (c) Specific activity of each mutant resulting from coexpression along wtâAQP2, calculated by subtracting single (â) from dual (+) values determined in (b). As expected, coexpressing with wtâAQP2 does not elicit any specific activity on R187C (p = 0.1176, see supporting information) in opposition to T179N which display a 78 ± 7% increase in activity, similar to WT (p = 0.0105). On the other hand, dominant R254Q induces a 69 ± 13% reduction in activity of wtâAQP2.
FIGURE 4. Quantization of protein abundance for AQP2 variants in wt/mutant conditions. The conditions tested in Figure 3 for functionality were also used to evaluate the protein stability for each mutant variant, this time using equimolar amount of GFPâwtâAQP2 in (+) condition in order to isolate the untagged signal of mutant forms for densitometry analysis (GFPâwtâAQP2 in bracket). Western blots in panel (a) represent the specific labeling for each mutant either in absence (â) or presence (+) of GFPâwtâAQP2. Here again, both nonâglycosylated (*) and highâmannose bands (**) are shown. (b) Densitometry analysis for each condition displayed in (a) combining both 29Â kDa (*) and 31Â kDa (**) bands and presented in % values against WT.
FIGURE 5. Functional recovery of four rec‐AQP2 mutations. Similarly to procedure in Figures 3 and 4, oocytes were injected with 0.5 ng mRNA coding for A47V, A120D, A130V and T179N either in absence (−) or presence (+) of wt‐AQP2 (equimolar GFP‐wt‐AQP2 in Western blots) and incubated for 24 h prior testing for activity (water permeability in a) and protein content (densitometry analysis of Western blot in b). (a) Recovery evaluation for each variant calculated by subtracting specific activities form single to dual (wt + mutant) expression conditions (similar to Figure 3c). Data represent % ± SD of wt‐AQP2 with n = 3–5 assays (see supporting information for p values). (b) Fold increase in protein contents (29 + 31 kDa bands) for each mutant (+ over − values, similar to Figure 4b) with n = 3–6 assays. (a) Plot correlating increased protein stability to functional recovery using data from panel (a) and (b), to which are added values for wt‐AQP2 (□) and R187C (∆).
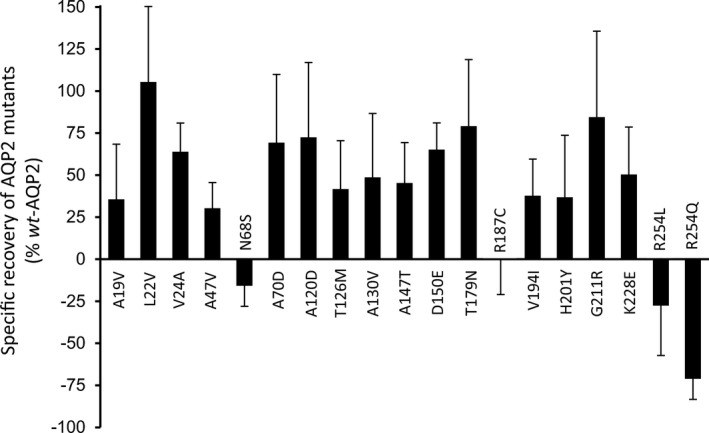
FIGURE 6. Functional recovery distribution in NDI related AQP2 mutations. The functional recovery capacities for 19 AQP2 mutations identified from NDI caseâstudies was performed using the same strategy as previously, i.e. subtracting mutant activities in single expression (â condition) to that found in coexpression (+ condition, see Figure 3). As shown, mutations located in the core structure of the channel (A19V to G211R) all display clear functional recovery properties, with notable exception of N68S and R187C which are part of, or directly adjacent to, the double NPA water selectivity filter (water pore). The two last mutations studied (R254L and R254Q), located in the Câter regulatory segment of the channel, display dominant negative effect typical of dom mutations through inhibition of the wtâAQP2 subunit(s) activity. Values are mean ± SD in % of wtâAQP2, n = 3â5 assays (seesupporting information for p values).
FIGURE 7. Molecular model describing AQP2âdepended NDI. In normal condition (wt/wt), AQP2 proteins are synthesized and assembled (tetramer) in ER before Golgi maturation and final storage in endosomes (Endo). AQP2 particles can therefore be recruited to the plasma membrane (PM) through vasopressin signaling (phosphorylation of Câter segment) and recycled on demand. Defective rec forms found within the core structure of the protein fail to produce functional tetramers in sufficient amount to support adequate level of activity, hence inducing NDI phenotype in homozygous rec/rec conditions (mean activity = 11% of wt/wt condition). Yet, aside a few exceptions (N68S, R187C), the same variants in heterozygous condition (wt/rec) can associate with wt counterparts to create functional wt/rec heteromers, increasing overall activity (87% of wt/wt condition) so to prevent NDI phenotype. Although dominant (dom) mutations also multimerize with wt, the wt/dom heteromers are mostly found to be sequestered (Golgi, endosomes), lowering global activity and causing NDI even in heterozygotes (25% of wt/wt condition).
Arthur,
Characterization of the putative phosphorylation sites of the AQP2 C terminus and their role in AQP2 trafficking in LLC-PK1 cells.
2015, Pubmed
Arthur,
Characterization of the putative phosphorylation sites of the AQP2 C terminus and their role in AQP2 trafficking in LLC-PK1 cells.
2015,
Pubmed
Bichet,
GENETICS IN ENDOCRINOLOGY Pathophysiology, diagnosis and treatment of familial nephrogenic diabetes insipidus.
2020,
Pubmed
Bissonnette,
Functional expression of tagged human Na+-glucose cotransporter in Xenopus laevis oocytes.
1999,
Pubmed
,
Xenbase
Bockenhauer,
Pathophysiology, diagnosis and management of nephrogenic diabetes insipidus.
2015,
Pubmed
Canfield,
Identification and characterization of aquaporin-2 water channel mutations causing nephrogenic diabetes insipidus with partial vasopressin response.
1997,
Pubmed
,
Xenbase
Christensen,
Localization and regulation of PKA-phosphorylated AQP2 in response to V(2)-receptor agonist/antagonist treatment.
2000,
Pubmed
Cordat,
Expression and interaction of two compound heterozygous distal renal tubular acidosis mutants of kidney anion exchanger 1 in epithelial cells.
2006,
Pubmed
Deen,
Water channels encoded by mutant aquaporin-2 genes in nephrogenic diabetes insipidus are impaired in their cellular routing.
1995,
Pubmed
,
Xenbase
de Mattia,
Lack of arginine vasopressin-induced phosphorylation of aquaporin-2 mutant AQP2-R254L explains dominant nephrogenic diabetes insipidus.
2005,
Pubmed
de Mattia,
A novel mechanism in recessive nephrogenic diabetes insipidus: wild-type aquaporin-2 rescues the apical membrane expression of intracellularly retained AQP2-P262L.
2004,
Pubmed
,
Xenbase
Duquette,
Local osmotic gradients drive the water flux associated with Na(+)/glucose cotransport.
2001,
Pubmed
,
Xenbase
El Tarazi,
Functional Recovery of AQP2 Recessive Mutations Through Hetero-Oligomerization with Wild-Type Counterpart.
2016,
Pubmed
,
Xenbase
Eunson,
Clinical, genetic, and expression studies of mutations in the potassium channel gene KCNA1 reveal new phenotypic variability.
2000,
Pubmed
Guyon,
Characterization of D150E and G196D aquaporin-2 mutations responsible for nephrogenic diabetes insipidus: importance of a mild phenotype.
2009,
Pubmed
,
Xenbase
Kamsteeg,
Importance of aquaporin-2 expression levels in genotype -phenotype studies in nephrogenic diabetes insipidus.
2000,
Pubmed
,
Xenbase
Kamsteeg,
An impaired routing of wild-type aquaporin-2 after tetramerization with an aquaporin-2 mutant explains dominant nephrogenic diabetes insipidus.
1999,
Pubmed
,
Xenbase
Katsura,
Constitutive and regulated membrane expression of aquaporin 1 and aquaporin 2 water channels in stably transfected LLC-PK1 epithelial cells.
1995,
Pubmed
Knepper,
Regulation of aquaporin-2 water channel trafficking by vasopressin.
1997,
Pubmed
Knoers,
Molecular and cellular defects in nephrogenic diabetes insipidus.
2001,
Pubmed
Leduc-Nadeau,
Elaboration of a novel technique for purification of plasma membranes from Xenopus laevis oocytes.
2007,
Pubmed
,
Xenbase
Leduc-Nadeau,
New autosomal recessive mutations in aquaporin-2 causing nephrogenic diabetes insipidus through deficient targeting display normal expression in Xenopus oocytes.
2010,
Pubmed
,
Xenbase
Lin,
Two novel aquaporin-2 mutations responsible for congenital nephrogenic diabetes insipidus in Chinese families.
2002,
Pubmed
,
Xenbase
Marr,
Cell-biologic and functional analyses of five new Aquaporin-2 missense mutations that cause recessive nephrogenic diabetes insipidus.
2002,
Pubmed
,
Xenbase
Marr,
Heteroligomerization of an Aquaporin-2 mutant with wild-type Aquaporin-2 and their misrouting to late endosomes/lysosomes explains dominant nephrogenic diabetes insipidus.
2002,
Pubmed
Marr,
Functionality of aquaporin-2 missense mutants in recessive nephrogenic diabetes insipidus.
2001,
Pubmed
,
Xenbase
Moon,
Novel mutation of aquaporin-2 gene in a patient with congenital nephrogenic diabetes insipidus.
2009,
Pubmed
Mulders,
An aquaporin-2 water channel mutant which causes autosomal dominant nephrogenic diabetes insipidus is retained in the Golgi complex.
1998,
Pubmed
,
Xenbase
Mulders,
New mutations in the AQP2 gene in nephrogenic diabetes insipidus resulting in functional but misrouted water channels.
1997,
Pubmed
,
Xenbase
Nielsen,
The aquaporin family of water channels in kidney.
1995,
Pubmed
,
Xenbase
Robben,
Cell biological aspects of the vasopressin type-2 receptor and aquaporin 2 water channel in nephrogenic diabetes insipidus.
2006,
Pubmed
Savelkoul,
p.R254Q mutation in the aquaporin-2 water channel causing dominant nephrogenic diabetes insipidus is due to a lack of arginine vasopressin-induced phosphorylation.
2009,
Pubmed
Schenk,
The 4.5 A structure of human AQP2.
2005,
Pubmed
Tamarappoo,
Defective aquaporin-2 trafficking in nephrogenic diabetes insipidus and correction by chemical chaperones.
1998,
Pubmed
,
Xenbase
Wilkie,
The molecular basis of genetic dominance.
1994,
Pubmed
Yenchitsomanus,
Molecular mechanisms of autosomal dominant and recessive distal renal tubular acidosis caused by SLC4A1 (AE1) mutations.
2005,
Pubmed