|
Fig 1. The results of colorimetric and biofilm assays under various initial conditions.
Mycoplasma pneumoniae FH was inoculated at 103, 104, and 105 CFU/mL in a 96-well plate and cultivated with 0% or 5% CO2. The growth was analysed by measuring the absorbance at 560 nm in the colorimetric assay (A) and at 550 nm in the biofilm assay (B). Error bars indicate ± 3 standard deviations.
|
|
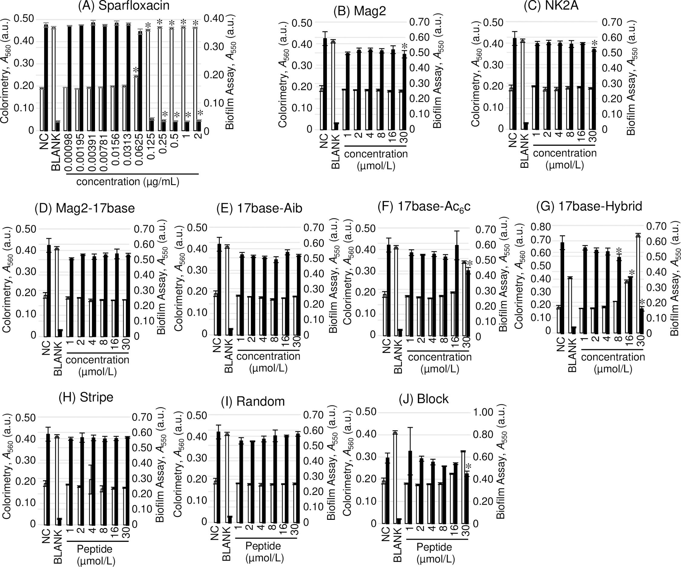
Fig 2. The anti-Mp effects of antimicrobials on Mycoplasma pneumoniae FH as evaluated by the colorimetric and biofilm assays.
The colorimetric assay (white bar) and the biofilm assay (black bar) were used to evaluate the anti-Mp effects of sparfloxacin (A), and the antimicrobial peptides (AMPs) Mag2 (B), NK2A (C), MAG2-17base (D), 17base-Aib (E), 17base-Ac6c (F), 17base-Hybrid (G), Stripe (H), Random (I), and Block (J). NC means saline negative control and BLANK means the culture medium control without M. pneumoniae inoculation. Error bars indicate ± standard deviations. * indicates the statistical significance at p < 0.005 (ShirleyâWilliamsâ multiple comparison test).
https://doi.org/10.1371/journal.pone.0261893.g002
|
|
Fig 3. Evaluation of the antimicrobial effects of antimicrobial peptides (AMPs) on Mycoplasma pneumoniae FH using the killing assay.
M. pneumoniae FH at 106 CFU/mL were treated with 30 μmol/L AMPs (Mag2, Mag2-17base, 17base-Aib, 17base-Ac6c, 17base-Hybrid, Block, Stripe, Random, or NK2A) or saline for 3 days, and then inoculated onto PPLO agar in triplicate. The CFU values were determined as the number of surviving cells after 7 or 10 days of incubation. Error bars indicate ± standard deviations. â indicates the statistical significance vs. saline treatment at p < 0.005 (Welchâs t test).
https://doi.org/10.1371/journal.pone.0261893.g003
|
|
Fig 4. Evaluation of the antimicrobial effects of sparfloxacin and two antimicrobial peptides (AMPs; 17base-hybrid and block) on Mycoplasma pneumoniae strains Bru M129-B7, Mac, and M52.
The results of the colorimetric assay (white bars) and biofilm assay (black bars) are depicted. M. pneumoniae Bru (A, B), M129-B7 (C, D), Mac (E, F) and M52 (G, H) were used for the tests, and sparfloxacin (A, C, E, G) was used as a positive control. The anti-Mp effects of 17base-Hybrid and Block (B, D, F, H) were verified. NC indicates saline negative control, and BLANK indicates the culture control without M. pneumoniae. Error bars indicate ± standard deviations. * indicates the statistical significance at p < 0.005 (Shirley–Williams’ multiple comparison test).
https://doi.org/10.1371/journal.pone.0261893.g004
|
|
ig 5. Evaluation of the effects of 17base-hybrid and block on Mycoplasma pneumonia strains Bru, M129-B7, Mac, and M52 using the killing assay.
Four strains of M. pneumoniae at 106 CFU/mL were treated with 30 μmol/L AMPs (17base-Hybrid and Block) or saline for 3 days, and inoculated onto PPLO agar in triplicate. The CFU values were determined as the number of surviving cells after 7 or 10 days incubation. Error bars indicate ± standard deviations. * indicates the statistical significance at p < 0.005 (Shirley–Williams’ multiple comparison test) and † indicates the statistical significance vs. saline treatment at p < 0.005 (Welch’s t test).
https://doi.org/10.1371/journal.pone.0261893.g005
|
|
Fig 6. Results of propidium iodide (PI) uptake assays using heat-killed Mycoplasma pneumoniae (HKMp) or live M. pneumoniae.
A suspension of live or heat-killed (95°C for 10 minutes) M. pneumoniae strains FH (pale blue or blue dotted-lines), Bru (pale-red or red dotted-lines), M129-B7 (pale-green or green dotted-lines), Mac (grey or black dotted-lines), or M52 (yellow-ocher or yellow dotted-lines) in phosphate buffered saline pH 7.4 was mixed with PI at the final concentration of 5 μg/mL in triplicate, and the intercalate fluorescence (excitation at 535 nm, and emission at 620 nm) were immediately measured in every 2 min. The data was normalised using the averaged fluorescence as 100% between 10 and 20 min by each strain of HKMp. Error bars indicate ± standard deviations.
https://doi.org/10.1371/journal.pone.0261893.g006
|
|
Fig 7. Results of propidium iodide (PI) uptake assays for the evaluation of the antimicrobial peptides effects to the mycoplasma cell membrane.
A suspension of live Mycoplasma pneumoniae strains FH (A, B, and C), Bru (D, E, and F), M129-B7 (G, H, and I), Mac (J, K, and L), and M52 (M, N, and O) in phosphate buffered saline was mixed with PI (final 5 μg/mL) and antimicrobial peptides (final 10 μmol/L) in triplicate using NK2A (red-coloured line in panels A, D, G, J, and M), Mag2, Mag2-17base, 17base-Aib, 17base-Ac6c, 17base-Hybrid (yellow, dark-green, orange, grey, and light-blue lines respectively in panels B, E, H, K, and N), Block, Stripe, and Random (green, purple, and pink lines respectively in panels C, F, I, L, and O). The intercalate fluorescence of PI (excitation at 535 nm, and emission at 620 nm) were immediately measured in every 2 min. For the reference, the live or heat-killed M. pneumoniae (live Mp or HKMp) were also used without any antimicrobial peptides; live Mp of strains FH, Bru, M129-B7, Mac, and M52 were depicted by pale-blue, pale-red, pale-green, grey, yellow-ocher dotted-lines respectively in panels A, D, G, J, and M, and HKMp of strains FH, Bru, M129-B7, Mac, and M52 were depicted by blue, red, green, black, yellow dotted-lines respectively in all panels. The data was normalised using the averaged fluorescence from 10 to 20 min by each strain of HKMp. Error bars indicate ± standard deviations.
https://doi.org/10.1371/journal.pone.0261893.g007
|
|
Fig 5. Evaluation of the effects of 17base-hybrid and block on Mycoplasma pneumonia strains Bru, M129-B7, Mac, and M52 using the killing assay.Four strains of M. pneumoniae at 106 CFU/mL were treated with 30 μmol/L AMPs (17base-Hybrid and Block) or saline for 3 days, and inoculated onto PPLO agar in triplicate. The CFU values were determined as the number of surviving cells after 7 or 10 days incubation. Error bars indicate ± standard deviations. * indicates the statistical significance at p < 0.005 (Shirley–Williams’ multiple comparison test) and † indicates the statistical significance vs. saline treatment at p < 0.005 (Welch’s t test).
|