Click here to close
Hello! We notice that you are using Internet Explorer, which is not supported by Xenbase and may cause the site to display incorrectly.
We suggest using a current version of Chrome,
FireFox, or Safari.
Molecules
2022 Mar 11;276:. doi: 10.3390/molecules27061846.
Show Gene links
Show Anatomy links
Dihydropyridines Potentiate ATP-Induced Currents Mediated by the Full-Length Human P2X5 Receptor.
Schiller IC
,
Jacobson KA
,
Wen Z
,
Malisetty A
,
Schmalzing G
,
Markwardt F
.
???displayArticle.abstract???
The P2X5 receptor, an ATP-gated cation channel, is believed to be involved in tumor development, inflammatory bone loss and inflammasome activation after bacterial infection. Therefore, it is a worthwhile pharmacological target to treat the corresponding diseases, especially in minority populations that have a gene variant coding for functional homotrimeric P2X5 channels. Here, we investigated the effects of dihydropyridines on the human full-length P2X5 receptor (hP2X5FL) heterologously expressed in Xenopus oocytes using the two-microelectrode voltage clamp method. Agonist dependency, kinetics and permeation behavior, including Cl- permeability, were similar to hP2X5FL expressed in HEK293 or 1321N1 cells. Additionally, 1,4-dihydropyridines have been shown to interact with various other purinergic receptors, and we have examined them as potential hP2X5 modulators. Of seven commercially available and four newly synthesized dihydropyridines tested at hP2X5FL, only amlodipine exerted an inhibitory effect, but only at a high concentration of 300 µM. Isradipine and-even more-nimodipine stimulated ATP-induced currents in the low micromolar range. We conclude that common dihydropyridines or four new derivatives of amlodipine are not suitable as hP2X5 antagonists, but amlodipine might serve as a lead for future synthesis to increase its affinity. Furthermore, a side effect of nimodipine therapy could be a stimulatory effect on inflammatory processes.
Figure 1. Examples of hP2X5FL-mediated current traces in X. laevis oocytes elicited by ATP. ATP was applied for 6 s (A) or 3 s (B) at the indicated ATP concentration and for the duration indicated by the horizontal line. In (B), a 2 min washout period was inserted between the first and second ATP applications.
Figure 2. Agonist dependence of hP2X5FL-mediated ion currents in X. leavis oocytes. (A) Examples of current traces elicited consecutively by ATP or BzATP as indicated in the same hP2X5FL-expressing oocyte. (B) Concentration dependence of currents evoked by the indicated agonist. Iact,rel,0.01ATP was calculated according to Equation (1) and the approximation was performed using Equation (2). Data are means ± SEM from of 4–12 oocytes.
Figure 3. Permeation behavior of oocyte-expressed hP2X5FL ion channels. Time course of ramp currents during voltage ramps applied every second before and during application of 0.01 mM ATP for the time indicated by the horizontal bar before (A) and after (B) subtraction of the resting ion currents. The bathing solution was a NaCl-based Ringer’s solution. (C) Current ramp from a section of B as indicated. The red straight line is the linear fit of the current around the reversal potential. (D) Voltage ramp protocol. (E–H) Examples of ramp currents induced by 0.01 mM ATP in bathing solutions with the indicated main extracellular ions. The ramp current recorded before the ATP application was subtracted. The red lines indicate the linear approximation of the current–voltage dependence near I = 0, from which the slope conductance G and the reversal potential Vrev are obtained as indicated. Dependence of G (I) and Vrev (J,K) on the extracellular ions of hP2X5FL (I,J) and hP2X7 (K) expressing oocytes. All mean values are significantly different except the reversal potentials in NaCl and Na glutamate solution for hP2X7 expressing oocytes. Means from 13–37 oocytes.
Figure 4. Voltage dependence of oocyte-expressed hP2X5FL ion channels. Characteristic example of hP2X5FL-dependent current evoked by 0.01 mM ATP for the time indicated by the horizontal bar at a membrane potential of −80 mV (A) or +40 mV (B), respectively. The exponential fits of the deactivation time courses according to eq. 3 are plotted as red lines, with the determined rate constants as indicated. (C) Statistics of the effect of the membrane potential on the deactivation rate constant. All mean values are significantly different from each other. Means are from 9–19 oocytes.
Figure 5. Effect of different dihydropyridines and the P2X7-specific blocker A438079 on hP2X5FL-mediated currents. Examples of the inhibitory effect of amlodipine (A) the effect of nifedipine (B) and the stimulatory effect of isradipine (C) on ATP-induced currents. Currents were evoked by ATP in bathing solution and 2 min later in bathing solution supplemented with the indicated dihydropyridine derivative. (D) Summary of the effects of A438079 and various dihydropyridines on ATP-induced currents. Means are normalized to the mean value of the currents measured during the second ATP application without additional substances (control). Means of 9–50 oocytes. Values that differ significantly from the ATP-only control are marked by asterisks.
Figure 6. Concentration-dependent effect of nimodipine on hP2X5FL-mediated currents. (A) Example current traces consecutively evoked by ATP and ATP + nimodipine. (B) Concentration dependence of the effect of nimodipine on ATP-elicited hP2X5FL-mediated currents. Means are from of 6–40 oocytes. The structure of nimodipine is shown in the inset.
Figure 7. Effects of amlodipine-derived compounds on hP2X5FL-mediated currents. (A) Structures of amlodipine and four newly synthesized DHPs derived from amlodipine. (B) Statistics of the effect of the MRS compounds shown in A. Means are from of 7–9 oocytes.
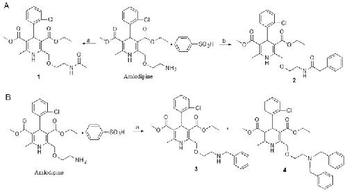
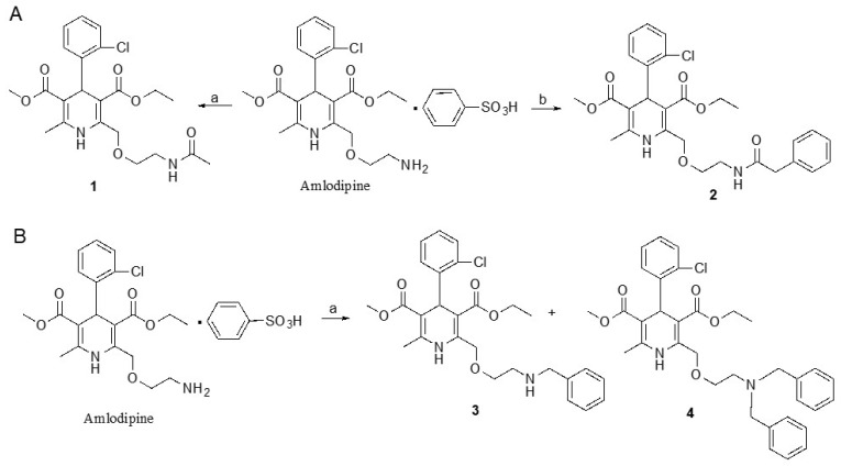
Figure 8. Synthesis of new dihydropyridine derivatives. (A) Preparation of amide derivatives 1 and 2 of amlodipine. Reagents and conditions: (a) acetyl chloride, pyridine, 0 °C—rt., overnight, 44%; (b) phenylacetyl chloride, TEA, CH2Cl2, 0 °C—rt, overnight, 93%. (B) Preparation of N-benzylated derivatives of amlodipine. Reagents and conditions: (a) benzyl bromide, K2CO3, reflux, 3.5 h, 37% 3 and 39% 4.
Abramowski,
A truncation variant of the cation channel P2RX5 is upregulated during T cell activation.
2014, Pubmed
Abramowski,
A truncation variant of the cation channel P2RX5 is upregulated during T cell activation.
2014,
Pubmed
Aschrafi,
Trimeric architecture of homomeric P2X2 and heteromeric P2X1+2 receptor subtypes.
2004,
Pubmed
,
Xenbase
Berchtold,
Human monocyte derived dendritic cells express functional P2X and P2Y receptors as well as ecto-nucleotidases.
1999,
Pubmed
Bhattacharya,
Recent Advances in CNS P2X7 Physiology and Pharmacology: Focus on Neuropsychiatric Disorders.
2018,
Pubmed
Bidula,
Structural Basis of the Negative Allosteric Modulation of 5-BDBD at Human P2X4 Receptors.
2022,
Pubmed
Birdsong,
Sensing muscle ischemia: coincident detection of acid and ATP via interplay of two ion channels.
2010,
Pubmed
Bo,
Pharmacological and biophysical properties of the human P2X5 receptor.
2003,
Pubmed
Bretschneider,
Nonselective cationic currents elicited by extracellular ATP in human B-lymphocytes.
1995,
Pubmed
Burnstock,
Purinergic signalling and cancer.
2013,
Pubmed
Burnstock,
P2X receptors in health and disease.
2011,
Pubmed
Collo,
Cloning OF P2X5 and P2X6 receptors and the distribution and properties of an extended family of ATP-gated ion channels.
1996,
Pubmed
Compan,
P2X2 and P2X5 subunits define a new heteromeric receptor with P2X7-like properties.
2012,
Pubmed
,
Xenbase
de Rijke,
A frameshift polymorphism in P2X5 elicits an allogeneic cytotoxic T lymphocyte response associated with remission of chronic myeloid leukemia.
2005,
Pubmed
Duckwitz,
P2X5 subunit assembly requires scaffolding by the second transmembrane domain and a conserved aspartate.
2006,
Pubmed
,
Xenbase
Edraki,
Dihydropyridines: evaluation of their current and future pharmacological applications.
2009,
Pubmed
Flittiger,
Effects of protons on macroscopic and single-channel currents mediated by the human P2X7 receptor.
2010,
Pubmed
,
Xenbase
Ford,
The discovery and development of gefapixant.
2021,
Pubmed
Garcia-Guzman,
Molecular cloning and functional expression of a novel rat heart P2X purinoceptor.
1996,
Pubmed
Gelin,
P2X7 receptor antagonists for the treatment of systemic inflammatory disorders.
2020,
Pubmed
Gloor,
A vector for the synthesis of cRNAs encoding Myc epitope-tagged proteins in Xenopus laevis oocytes.
1995,
Pubmed
,
Xenbase
Harper,
Dihydropyridines as inhibitors of capacitative calcium entry in leukemic HL-60 cells.
2003,
Pubmed
Illes,
Update of P2X receptor properties and their pharmacology: IUPHAR Review 30.
2021,
Pubmed
Jacobson,
In search of selective P2 receptor ligands: interaction of dihydropyridine derivatives at recombinant rat P2X(2) receptors.
2000,
Pubmed
,
Xenbase
Jacobson,
A pyridoxine cyclic phosphate and its 6-azoaryl derivative selectively potentiate and antagonize activation of P2X1 receptors.
1998,
Pubmed
,
Xenbase
Janssens,
Effects of extracellular nucleotides and nucleosides on prostate carcinoma cells.
2001,
Pubmed
Jiang,
Chiral resolution and stereospecificity of 6-phenyl-4-phenylethynyl- 1,4-dihydropyridines as selective A(3) adenosine receptor antagonists.
1999,
Pubmed
Jumper,
Highly accurate protein structure prediction with AlphaFold.
2021,
Pubmed
Kim,
The purinergic receptor P2X5 contributes to bone loss in experimental periodontitis.
2018,
Pubmed
Kim,
The purinergic receptor P2X5 regulates inflammasome activity and hyper-multinucleation of murine osteoclasts.
2017,
Pubmed
Klapperstück,
Characteristics of P2X7 receptors from human B lymphocytes expressed in Xenopus oocytes.
2000,
Pubmed
,
Xenbase
Klapperstück,
Functional evidence of distinct ATP activation sites at the human P2X(7) receptor.
2001,
Pubmed
,
Xenbase
Kotnis,
Genetic and functional analysis of human P2X5 reveals a distinct pattern of exon 10 polymorphism with predominant expression of the nonfunctional receptor isoform.
2010,
Pubmed
Kubick,
The effect of anions on the human P2X7 receptor.
2011,
Pubmed
,
Xenbase
Lê,
Primary structure and expression of a naturally truncated human P2X ATP receptor subunit from brain and immune system.
1997,
Pubmed
,
Xenbase
Lê,
Functional and biochemical evidence for heteromeric ATP-gated channels composed of P2X1 and P2X5 subunits.
1999,
Pubmed
,
Xenbase
Lewis,
P2 purinoceptor-mediated control of rat cerebral (pial) microvasculature; contribution of P2X and P2Y receptors.
2000,
Pubmed
Li,
Linking Pharmacogenomic Information on Drug Safety and Efficacy with Ethnic Minority Populations.
2020,
Pubmed
Li,
Subtype-specific control of P2X receptor channel signaling by ATP and Mg2+.
2013,
Pubmed
Mansoor,
X-ray structures define human P2X(3) receptor gating cycle and antagonist action.
2016,
Pubmed
Matsumura,
A novel P2X4 receptor-selective antagonist produces anti-allodynic effect in a mouse model of herpetic pain.
2016,
Pubmed
Overes,
Aberrant expression of the hematopoietic-restricted minor histocompatibility antigen LRH-1 on solid tumors results in efficient cytotoxic T cell-mediated lysis.
2009,
Pubmed
Overes,
Expression of P2X5 in lymphoid malignancies results in LRH-1-specific cytotoxic T-cell-mediated lysis.
2008,
Pubmed
Overes,
Efficient activation of LRH-1-specific CD8+ T-cell responses from transplanted leukemia patients by stimulation with P2X5 mRNA-electroporated dendritic cells.
2009,
Pubmed
Pippel,
Localization of the gate and selectivity filter of the full-length P2X7 receptor.
2017,
Pubmed
Riedel,
Influence of extracellular monovalent cations on pore and gating properties of P2X7 receptor-operated single-channel currents.
2007,
Pubmed
,
Xenbase
Roh,
Structure-activity relationships of 1,4-dihydropyridines that act as enhancers of the vanilloid receptor 1 (TRPV1).
2008,
Pubmed
Ruppelt,
Genomic structure, developmental distribution and functional properties of the chicken P2X(5) receptor.
2001,
Pubmed
Ryten,
ATP regulates the differentiation of mammalian skeletal muscle by activation of a P2X5 receptor on satellite cells.
2002,
Pubmed
Schneider,
Interaction of Purinergic P2X4 and P2X7 Receptor Subunits.
2017,
Pubmed
,
Xenbase
Stolz,
Homodimeric anoctamin-1, but not homodimeric anoctamin-6, is activated by calcium increases mediated by the P2Y1 and P2X7 receptors.
2015,
Pubmed
,
Xenbase
Striessnig,
Human red-blood-cell Ca2+-antagonist binding sites. Evidence for an unusual receptor coupled to the nucleoside transporter.
1985,
Pubmed
Ussar,
ASC-1, PAT2, and P2RX5 are cell surface markers for white, beige, and brown adipocytes.
2014,
Pubmed
Weiner,
Site-directed mutagenesis of double-stranded DNA by the polymerase chain reaction.
1994,
Pubmed