Click here to close
Hello! We notice that you are using Internet Explorer, which is not supported by Xenbase and may cause the site to display incorrectly.
We suggest using a current version of Chrome,
FireFox, or Safari.
Int J Mol Sci
2023 Mar 15;246:. doi: 10.3390/ijms24065597.
Show Gene links
Show Anatomy links
The SARS-CoV-2 Virus and the Cholinergic System: Spike Protein Interaction with Human Nicotinic Acetylcholine Receptors and the Nicotinic Agonist Varenicline.
Carlson EC
,
Macsai M
,
Bertrand S
,
Bertrand D
,
Nau J
.
???displayArticle.abstract???
Severe acute respiratory syndrome coronavirus-2 (SARS-CoV-2) is responsible for the worldwide coronavirus disease 2019 (COVID-19) pandemic. Although the pathophysiology of SARS-CoV-2 infection is still being elucidated, the nicotinic cholinergic system may play a role. To evaluate the interaction of the SARS-CoV-2 virus with human nicotinic acetylcholine receptors (nAChRs), we assessed the in vitro interaction of the spike protein of the SARS-CoV-2 virus with various subunits of nAChRs. Electrophysiology recordings were conducted at α4β2, α3β4, α3α5β4, α4α6β2, and α7 neuronal nAChRs expressed in Xenopus oocytes. In cells expressing the α4β2 or α4α6β2 nAChRs, exposure to the 1 µg/mL Spike-RBD protein caused a marked reduction of the current amplitude; effects at the α3α5β4 receptor were equivocal and effects at the α3β4 and α7 receptors were absent. Overall, the spike protein of the SARS-CoV-2 virus can interact with select nAChRs, namely the α4β2 and/or α4α6β2 subtypes, likely at an allosteric binding site. The nAChR agonist varenicline has the potential to interact with Spike-RBD and form a complex that may interfere with spike function, although this effect appears to have been lost with the omicron mutation. These results help understand nAChR's involvement with acute and long-term sequelae associated with COVID-19, especially within the central nervous system.
Figure 1. Effects of the spike protein containing the receptor-binding domain (Spike-RBD) protein at the concentration-response curve to acetylcholine (ACh) of the α4β2 nicotinic acetylcholine receptor. Typical currents were recorded in the same cell before (green traces) and during short (left-hand side) and long (right-hand side) exposure to 1 μg/mL of the Spike-RBD protein (red traces). Currents were elicited by brief exposure to ACh test pulses with a series of concentrations. Currents were normalized to unity vs. the maximal value and average results obtained in seven cells were plotted vs. the logarithm (log) of the ACh concentration. The green curve is the best fit obtained with the Hill equation. Areas under the curve are plotted on the lower right-hand side.
Figure 2. Effects of the spike protein containing the receptor-binding domain (Spike-RBD) protein at the concentration-response curve to acetylcholine (ACh) of the α4α6β2 nicotinic acetylcholine receptor complementary DNA. Typical currents were recorded in the same cell before (green traces) and during exposure to 1 μg/mL of the Spike-RBD protein (red traces). Currents were elicited by brief exposure to ACh test pulses with a series of concentrations. Currents were normalized to unity vs. the maximal value and average results obtained in five cells were plotted vs. the logarithm (log) of the ACh concentration. The green curve is the best fit obtained with the Hill equation. Areas under the curve are plotted on the lower right-hand side.
Figure 3. Effects of the spike protein containing the receptor-binding domain (Spike-RBD) protein at the concentration-response curve to acetylcholine (ACh) of the α3α5β4 nicotinic acetylcholine receptor. Typical currents were recorded in the same cell before (green traces) and during exposure to 1 μg/mL of the Spike-RBD protein (red traces). Currents were elicited by brief exposure to ACh test pulses with a series of concentrations. Currents were normalized to unity vs. the maximal value and average results obtained in four cells were plotted vs. the logarithm (log) of the ACh concentration. The green curve is the best fit obtained with the Hill equation. Areas under the curve are plotted on the lower right-hand side.
Figure 4. Effects of the SARS-CoV-2 spike protein S2 subunit at the human α4β2 nicotinic acetylcholine receptor. Typical currents were recorded in the same cell before (green traces) and during exposure to 1 μg/mL of the Spike protein S2 subunit (red traces). Currents were elicited by brief exposure to acetylcholine (ACh) test pulses with a series of concentrations. Currents were normalized to unity vs. the maximal value and average results obtained in nine cells were plotted vs. the logarithm (log) of the ACh concentration. The green curve is the best fit obtained with the Hill equation. Areas under the curve are plotted on the lower right-hand side.
Figure 5. Effects of SARS-CoV-2 Spike protein S1 subunit at the human α4β2 nicotinic acetylcholine receptor. Typical currents were recorded in the same cell before (green traces) and during exposure to 1 μg/mL of the Spike protein S1 subunit (red traces). Currents were elicited by brief exposure to acetylcholine (ACh) test pulses with a series of concentrations. Currents were normalized to unity vs. the maximal value and average results obtained in six cells were plotted vs. the logarithm (log) of the ACh concentration. The green curve is the best fit obtained with the Hill equation. Areas under the curve are plotted on the lower right-hand side.
Figure 6. Effects of the severe acute respiratory syndrome coronavirus-2 (SARS-CoV-2) B.1.1.529 spike protein containing the receptor-binding domain (Spike-RBD) protein at the human α4β2 nicotinic acetylcholine receptor. Typical currents were recorded in the same cell before (green traces) and during exposure to 10 μg/mL of the SARS-CoV-2 B.1.1.529 Spike-RBD protein (red traces). Currents were elicited by brief exposure to acetylcholine (ACh) test pulses with a series of concentrations. Currents were normalized to unity vs. the maximal value and average results obtained in five cells were plotted vs. the logarithm (log) of the ACh concentration. The green curve is the best fit obtained with the Hill equation. Areas under the curve are plotted on the lower right-hand side.
Figure 7. Exposure to low, but sustained, applications of varenicline desensitize the human α4β2 nicotinic acetylcholine receptor. Typical currents evoked by brief acetylcholine test pulses (50 μM) were recorded in a cell expressing the complementary DNA encoding for the human α4β2 receptors were recorded first in control conditions (green trace) and then during exposure to a series of varenicline concentrations ranging from 0.03 to 300 nM.
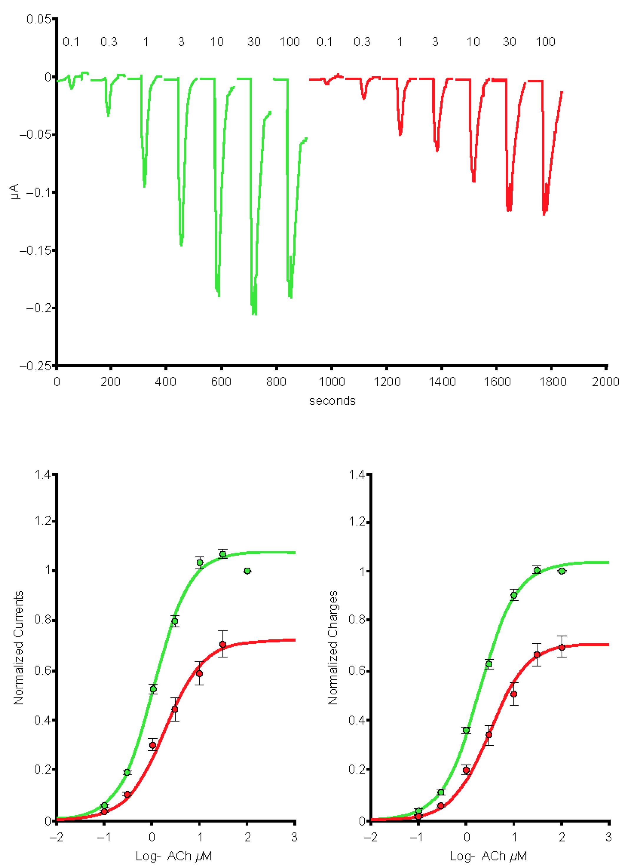
Figure 8. Peak inward currents evoked by 50-μM acetylcholine were recorded in a series of cells for control (n = 7; red) and during exposure to 1-μg/mL spike protein containing the receptor-binding domain (Spike-RBD) (n = 8; green) and normalized to unity vs. the response recorded in control. Continuous lines are the best fits obtained with the Hill equation. CTRL, control; log, logarithm.
Figure 9. The area under the curve (charges) of the currents evoked by 50-μM acetylcholine recorded in a series of cells for control (n = 7; red) and during exposure to 1-μg/mL spike protein containing the receptor-binding domain (Spike-RBD) (n = 8; green) and normalized to unity vs. the response recorded in control. Continuous lines are the best fits obtained with the Hill equation. CTRL, control; log, logarithm.
Figure 10. Peak inward currents evoked by 50-µM acetylcholine were recorded in a series of cells for control (n = 9; red) and during exposure to 10-µg/mL omicron S protein (n = 9; green) and normalized to unity vs. the response recorded in control. Continuous lines are the best fits obtained with the Hill equation. log, logarithm.
Figure 11. (A) Experimental protocol to assay effects of spike protein containing the receptor-binding domain (Spike-RBD) with human nicotinic acetylcholine receptor (nAChR) subtypes. (B) Experimental protocol to assay effects of varenicline with Spike-RBD at human α4β2 nAChRs.
Bertram,
TMPRSS2 activates the human coronavirus 229E for cathepsin-independent host cell entry and is expressed in viral target cells in the respiratory epithelium.
2013, Pubmed
Bertram,
TMPRSS2 activates the human coronavirus 229E for cathepsin-independent host cell entry and is expressed in viral target cells in the respiratory epithelium.
2013,
Pubmed
D'Souza,
Nicotinic receptors modulate olfactory bulb external tufted cells via an excitation-dependent inhibitory mechanism.
2013,
Pubmed
Farsalinos,
Systematic review of the prevalence of current smoking among hospitalized COVID-19 patients in China: could nicotine be a therapeutic option? Reply.
2021,
Pubmed
Farsalinos,
Editorial: Nicotine and SARS-CoV-2: COVID-19 may be a disease of the nicotinic cholinergic system.
2020,
Pubmed
Farsalinos,
Current smoking, former smoking, and adverse outcome among hospitalized COVID-19 patients: a systematic review and meta-analysis.
2020,
Pubmed
Farsalinos,
Smoking prevalence among hospitalized COVID-19 patients and its association with disease severity and mortality: an expanded re-analysis of a recent publication.
2021,
Pubmed
Finsterer,
Perspectives of Neuro-COVID: Myasthenia.
2021,
Pubmed
Fotedar,
Green Tobacco Sickness: A Brief Review.
2017,
Pubmed
Godellas,
An experimental test of the nicotinic hypothesis of COVID-19.
2022,
Pubmed
Grant,
Regulation of epithelial sodium channel activity by SARS-CoV-1 and SARS-CoV-2 proteins.
2021,
Pubmed
,
Xenbase
Gu,
Receptome profiling identifies KREMEN1 and ASGR1 as alternative functional receptors of SARS-CoV-2.
2022,
Pubmed
Hogg,
An automated system for intracellular and intranuclear injection.
2008,
Pubmed
,
Xenbase
Lagoumintzis,
Nicotinic cholinergic system and COVID-19: In silico identification of interactions between α7 nicotinic acetylcholine receptor and the cryptic epitopes of SARS-Co-V and SARS-CoV-2 Spike glycoproteins.
2021,
Pubmed
Lloyd,
Neuronal nicotinic acetylcholine receptors as novel drug targets.
2000,
Pubmed
Oliveira,
A potential interaction between the SARS-CoV-2 spike protein and nicotinic acetylcholine receptors.
2021,
Pubmed
Qian,
Nicotinic acetylcholine receptor (CHRN) expression and function in cultured human adult fungiform (HBO) taste cells.
2018,
Pubmed
Rajpal,
A comprehensive account of SARS-CoV-2 genome structure, incurred mutations, lineages and COVID-19 vaccination program.
2022,
Pubmed
Ramírez-Salinas,
Repositioning of Ligands That Target the Spike Glycoprotein as Potential Drugs for SARS-CoV-2 in an In Silico Study.
2020,
Pubmed
Rollema,
Rationale, pharmacology and clinical efficacy of partial agonists of alpha4beta2 nACh receptors for smoking cessation.
2007,
Pubmed
Sudre,
Attributes and predictors of long COVID.
2021,
Pubmed
Thapa Magar,
A Systematic Review of Neurological Manifestations of COVID-19.
2022,
Pubmed
Xia,
Fusion mechanism of 2019-nCoV and fusion inhibitors targeting HR1 domain in spike protein.
2020,
Pubmed