Click here to close
Hello! We notice that you are using Internet Explorer, which is not supported by Xenbase and may cause the site to display incorrectly.
We suggest using a current version of Chrome,
FireFox, or Safari.
PLoS Pathog
2023 Aug 01;198:e1011328. doi: 10.1371/journal.ppat.1011328.
Show Gene links
Show Anatomy links
Post-infection treatment with the E protein inhibitor BIT225 reduces disease severity and increases survival of K18-hACE2 transgenic mice infected with a lethal dose of SARS-CoV-2.
Ewart G
,
Bobardt M
,
Bentzen BH
,
Yan Y
,
Thomson A
,
Klumpp K
,
Becker S
,
Rosenkilde MM
,
Miller M
,
Gallay P
.
???displayArticle.abstract???
The Coronavirus envelope (E) protein is a small structural protein with ion channel activity that plays an important role in virus assembly, budding, immunopathogenesis and disease severity. The viroporin E is also located in Golgi and ER membranes of infected cells and is associated with inflammasome activation and immune dysregulation. Here we evaluated in vitro antiviral activity, mechanism of action and in vivo efficacy of BIT225 for the treatment of SARS-CoV-2 infection. BIT225 showed broad-spectrum direct-acting antiviral activity against SARS-CoV-2 in Calu3 and Vero cells with similar potency across 6 different virus strains. BIT225 inhibited ion channel activity of E protein but did not inhibit endogenous currents or calcium-induced ion channel activity of TMEM16A in Xenopus oocytes. BIT225 administered by oral gavage for 12 days starting 12 hours before infection completely prevented body weight loss and mortality in SARS-CoV-2 infected K18 mice (100% survival, n = 12), while all vehicle-dosed animals reached a mortality endpoint by Day 9 across two studies (n = 12). When treatment started at 24 hours after infection, body weight loss, and mortality were also prevented (100% survival, n = 5), while 4 of 5 mice maintained and increased body weight and survived when treatment started 48 hours after infection. Treatment efficacy was dependent on BIT225 dose and was associated with significant reductions in lung viral load (3.5 log10), virus titer (4000 pfu/ml) and lung and serum cytokine levels. These results validate viroporin E as a viable antiviral target and support the clinical study of BIT225 for treatment and prophylaxis of SARS-CoV-2 infection.
Fig 1. Effect Of BIT225 On E protein channels In Xenopus oocytes.
A. Resting membrane potential in oocytes injected with E protein encoding cRNA versus non-injected oocytes. B. Current-voltage relationships in injected and control oocytes and the effects of BIT225 (10 μM) application.
Fig 2. Efficacy and dose-dependence of seven-day treatment of SARS-CoV-2 infected K18-hACE2 mice with BIT225.
BIT225 dosing started 12 hours before infection. (A) Dosing Scheme. (B) Body weight changes in individual animals (dashed lines) and mean body-weight changes (solid lines) as percent of baseline pre-infection weight and 95% confidence interval error bars (n = 5 per group). Vehicle control (black circles); BIT225 (100 mg/kg–red triangles); BIT225 (300 mg/kg–blue squares). (C) Day 7 analysis of lung viral load by qRT-PCR. (D) Day 7 analysis of lung virus titre by plaque assay. (E) Day 7 analysis of cytokines or chemokines in the lung. Symbols represent data for individual mice: Vehicle control (black circles); BIT225 (100 mg/kg–red triangles); BIT225 (300 mg/kg–blue squares). Horizontal lines and “+” indicate the group median and mean, respectively. Welch’s T-tests were used to compare the group means and P-values are indicated as: ns—P > 0.05; * P < 0.05; ** P < 0.01; *** P < 0.001.
Fig 3. Twelve-day treatment of SARS-CoV-2 infected K18-hACE2 mice with BIT225.
BIT225 dosing started 12 hours before infection. (A) Dosing Scheme. (B) Kaplan-Meier plot: vehicle control (black line, n = 7, 0% survival); BIT225 12-day treatment group (blue line, n = 7, 100% survival). (C) Body weight changes in individual animals. Inset: Satellite groups dosed for 5 days for viral load and inflammation analyses. (D) Day 5 and Day 12 analysis of lung viral load by qRT-PCR. (E) Day 5 and Day 12 analysis of lung virus titre by plaque assay. Vehicle control (black circles) and 5-day BIT225 (red triangles) treatment data are from the satellite group. 12-day data (blue squares) are from the surviving animals in the 12-day treatment group. (F) Day 5 and Day 12 analysis of cytokines or chemokines in the lung. Symbols represent data for individual mice. Horizontal lines and “+” indicate the group median and mean, respectively. Welch’s T-tests were used to compare the group means and P-values are indicated as: ns—P > 0.05; * P < 0.05; ** P < 0.01; *** P < 0.001.
Fig 4. Treatment of SARS-CoV-2 infected K18-hACE2 mice with BIT225 starting 24 h before (pre), or 24 h or 48 h after (post) infection.
(A) Dosing Scheme. (B) Kaplan-Meier plot: Vehicle control (black line, 0% survival), BIT225 treatment starting 12 h pre infection (blue line, PRE, 100% survival), starting 24 h post infection (purple line with “o” symbols, POST (+24 h), 100% survival) or starting 48 h post infection (dark red line with “+” symbols, POST (+48 h), 80% survival). (C) Body weight changes in individual animals. (D) Day 12 analysis of lung viral load by qRT-PCR. (E) Day 12 analysis of lung virus titre by plaque assay. (F) Day 12 analysis of cytokines or chemokines in the lung. Symbols represent data for individual mice. Horizontal lines and “+” indicate the group median and mean, respectively. Welch’s T-tests were used to compare the group means and P-values are indicated as: ns—P > 0.05; * P < 0.05; ** P < 0.01; *** P < 0.001.
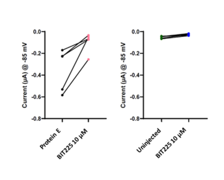
S2 Fig.
Effect Of BIT225 on E protein ion channel in Xenopus oocytes.
Change in currents for n = 5 individual oocytes after application of BIT225 (10 μM) at -85 mV holding potential: Injected (left panel) and uninjected (right panel).
S3 Fig.
No effect of BIT225 on Ca2+-induced endogenous currents in Xenopus oocytes.
Empty oocytes were exposed to 5 mM Ca2+ solutions in the absence (P1) and presence (P2) of drug and the Ca2+-induced currents were recorded. (A) The effect of drug treatment on the ratio of P1 and P2 currents relative to untreated control. (B) Representative traces of Ca2+-induced currents in the absence (P1) and presence (P2) of the indicated compound.
S4 Fig.
No effect of BIT225 on TMEM16A ion channel in HEK293 cells.
The Xenopus Ca2+-induced ion channel TMEM16A was transiently expressed in HEK293 cells. Ion channel activity was measured by manual patch clamp in the absence and presence of inhibitors as indicated.
S5 Fig.
Resting membrane potential in X. laevis oocytes injected with 20 ng KChIP2.1, 50 nl water and un-injected. n = 10–11.
S7 Fig.
Dose-dependent viral load, infectious titre and cytokine responses in serum of mice treated with BIT225 for 7 days.
Serum samples were harvested at Day 7 and analysed for; (A) viral load by pRT-PCR assay (left panel) or infectious titre by plaque assay (right panel); and (B) concentration of the indicated cytokines or chemokine by sandwich ELISA assay, as described in Methods. Symbols represent data for individual mice: Vehicle control (black circles); BIT225 (100 mg/kg–red triangles); BIT225 (300 mg/kg–blue squares). Horizontal lines and “+” indicate the group median and mean, respectively. Welch’s T-tests were used to compare the group means and P-values are indicated as: ns—P > 0.05; * P < 0.05; ** P < 0.01; *** P < 0.001.
S8 Fig.
Cytokine levels in serum of mice treated with BIT225 for 5 or 12 days.
Serum samples were harvested at Day 5 or Day 12 and analysed for concentration of the indicated cytokines or chemokine by sandwich ELISA assay, as described in Methods. Vehicle control and 5-day BIT225 treatment samples were from the satellite group. 12-day data are from the animals that survived to the end of the study. Symbols represent data for individual mice: Vehicle control (black circles); BIT225 5-day group (red triangles); BIT225 12-day group (blue squares). Horizontal lines and “+” indicate the group median and mean, respectively. Welch’s T-tests were used to compare the group means and P-values are indicated as: ns -; P > 0.05; * P < 0.05; ** P < 0.01; *** P < 0.001.
S9 Fig.
Cytokine levels at Day 12 post infection in serum of mice treated with BIT225 starting 24 h before (pre), or 24 h or 48 h after (post) infection.
Serum samples were harvested from surviving animals at Day 12 post infection and analysed for concentration of the indicated cytokines or chemokine by sandwich ELISA assay, as described in Methods. No vehicle control animals survived. Symbols represent data for individual mice: Pre-treated group (blue line and squares); 24 h post treated group (purple line and open circles); 48 h post treated group (red line and “+” symbols). Horizontal lines indicate the group median. Welch’s T-tests were used to compare the group means and P-values are indicated as: ns—P > 0.05; * P < 0.05; ** P < 0.01; *** P < 0.001.
Al-Zaidan,
The expression of hACE2 receptor protein and its involvement in SARS-CoV-2 entry, pathogenesis, and its application as potential therapeutic target.
2021, Pubmed
Al-Zaidan,
The expression of hACE2 receptor protein and its involvement in SARS-CoV-2 entry, pathogenesis, and its application as potential therapeutic target.
2021,
Pubmed
Castaño-Rodriguez,
Role of Severe Acute Respiratory Syndrome Coronavirus Viroporins E, 3a, and 8a in Replication and Pathogenesis.
2018,
Pubmed
Cevik,
Virology, transmission, and pathogenesis of SARS-CoV-2.
2020,
Pubmed
Chen,
Severe Acute Respiratory Syndrome Coronavirus Viroporin 3a Activates the NLRP3 Inflammasome.
2019,
Pubmed
Dampalla,
Postinfection treatment with a protease inhibitor increases survival of mice with a fatal SARS-CoV-2 infection.
2021,
Pubmed
Farag,
Viroporins and inflammasomes: A key to understand virus-induced inflammation.
2020,
Pubmed
Gargan,
Unravelling the Immunomodulatory Effects of Viral Ion Channels, towards the Treatment of Disease.
2021,
Pubmed
Giorda,
Viroporins customize host cells for efficient viral propagation.
2013,
Pubmed
Golden,
Human angiotensin-converting enzyme 2 transgenic mice infected with SARS-CoV-2 develop severe and fatal respiratory disease.
2020,
Pubmed
Hu,
Characteristics of SARS-CoV-2 and COVID-19.
2021,
Pubmed
Jeong,
Combination therapy with nirmatrelvir and molnupiravir improves the survival of SARS-CoV-2 infected mice.
2022,
Pubmed
Khoury,
The antiviral compound BIT225 inhibits HIV-1 replication in myeloid dendritic cells.
2016,
Pubmed
Khoury,
Antiviral efficacy of the novel compound BIT225 against HIV-1 release from human macrophages.
2010,
Pubmed
Kung,
Molecular Virology of SARS-CoV-2 and Related Coronaviruses.
2022,
Pubmed
Luscombe,
A novel Hepatitis C virus p7 ion channel inhibitor, BIT225, inhibits bovine viral diarrhea virus in vitro and shows synergism with recombinant interferon-alpha-2b and nucleoside analogues.
2010,
Pubmed
Luscombe,
Human Immunodeficiency Virus Type 1 Vpu Inhibitor, BIT225, in Combination with 3-Drug Antiretroviral Therapy: Inflammation and Immune Cell Modulation.
2021,
Pubmed
Mandala,
Structure and drug binding of the SARS-CoV-2 envelope protein transmembrane domain in lipid bilayers.
2020,
Pubmed
McCray,
Lethal infection of K18-hACE2 mice infected with severe acute respiratory syndrome coronavirus.
2007,
Pubmed
Muñoz-Fontela,
Animal models for COVID-19.
2020,
Pubmed
Netland,
Severe acute respiratory syndrome coronavirus infection causes neuronal death in the absence of encephalitis in mice transgenic for human ACE2.
2008,
Pubmed
Nieto-Torres,
Relevance of Viroporin Ion Channel Activity on Viral Replication and Pathogenesis.
2015,
Pubmed
Nieto-Torres,
Severe acute respiratory syndrome coronavirus envelope protein ion channel activity promotes virus fitness and pathogenesis.
2014,
Pubmed
Nieto-Torres,
Severe acute respiratory syndrome coronavirus E protein transports calcium ions and activates the NLRP3 inflammasome.
2015,
Pubmed
Nieva,
Viroporins: structure and biological functions.
2012,
Pubmed
Nishikiori,
Organelle luminal dependence of (+)strand RNA virus replication reveals a hidden druggable target.
2018,
Pubmed
Oladunni,
Lethality of SARS-CoV-2 infection in K18 human angiotensin-converting enzyme 2 transgenic mice.
2020,
Pubmed
Patargias,
Ligand-protein docking studies of potential HIV-1 drug compounds using the algorithm FlexX.
2010,
Pubmed
Paull,
Virucidal and antiviral activity of astodrimer sodium against SARS-CoV-2 in vitro.
2021,
Pubmed
Paull,
Protective Effects of Astodrimer Sodium 1% Nasal Spray Formulation against SARS-CoV-2 Nasal Challenge in K18-hACE2 Mice.
2021,
Pubmed
Ravi,
Basic virology of SARS-CoV 2.
2022,
Pubmed
Ritz,
Dose-Response Analysis Using R.
2015,
Pubmed
Saravanan,
Role of genomics in combating COVID-19 pandemic.
2022,
Pubmed
Shah,
Novel Coronavirus-Induced NLRP3 Inflammasome Activation: A Potential Drug Target in the Treatment of COVID-19.
2020,
Pubmed
Sheahan,
Broad-spectrum antiviral GS-5734 inhibits both epidemic and zoonotic coronaviruses.
2017,
Pubmed
Sheahan,
An orally bioavailable broad-spectrum antiviral inhibits SARS-CoV-2 in human airway epithelial cell cultures and multiple coronaviruses in mice.
2020,
Pubmed
To,
Beyond Channel Activity: Protein-Protein Interactions Involving Viroporins.
2018,
Pubmed
Toft-Bertelsen,
Author Correction: Amantadine inhibits known and novel ion channels encoded by SARS-CoV-2 in vitro.
2021,
Pubmed
Wahl,
SARS-CoV-2 infection is effectively treated and prevented by EIDD-2801.
2021,
Pubmed
Wilkinson,
A Phase 1b/2a study of the safety, pharmacokinetics and antiviral activity of BIT225 in patients with HIV-1 infection.
2016,
Pubmed
Wilson,
SARS coronavirus E protein forms cation-selective ion channels.
2004,
Pubmed
Wilson,
Validation of coronavirus E proteins ion channels as targets for antiviral drugs.
2006,
Pubmed
Wilson,
Hexamethylene amiloride blocks E protein ion channels and inhibits coronavirus replication.
2006,
Pubmed
Winkler,
SARS-CoV-2 infection of human ACE2-transgenic mice causes severe lung inflammation and impaired function.
2020,
Pubmed
Wong,
Eicosanoid signalling blockade protects middle-aged mice from severe COVID-19.
2022,
Pubmed
Xia,
SARS-CoV-2 envelope protein causes acute respiratory distress syndrome (ARDS)-like pathological damages and constitutes an antiviral target.
2021,
Pubmed
Yalcinkaya,
Modulation of the NLRP3 inflammasome by Sars-CoV-2 Envelope protein.
2021,
Pubmed
Zheng,
COVID-19 treatments and pathogenesis including anosmia in K18-hACE2 mice.
2021,
Pubmed