|
XB-MORPHOLINO-22069819
Morpholino Name:
Jmjd6 MO1
Synonyms: Jmjd6a MO
Target mRNA: jmjd6
Morpholino Type: uncategorized morpholino
Sequence: 5' ATCCCCGGTGTTTCCTGACCACCTC 3'
Source: Gene Tools LLC
Synonyms: Jmjd6a MO
Target mRNA: jmjd6
Morpholino Type: uncategorized morpholino
Sequence: 5' ATCCCCGGTGTTTCCTGACCACCTC 3'

Source: Gene Tools LLC
Target mRNA | laevis.L | laevis.S | |||||
Identities | 25/25 | 22/25 | |||||
genome
MO
|
5' GAGGTGGTCAGGAAACACCGGGGAT 3' ||||||||||||||||||||||||| 3' CTCCACCAGTCCTTTGTGGCCCCTA 5' |
5' GAGTTGGACCGGAAACACCGGGGAT 3' ||| ||| | ||||||||||||||| 3' CTCCACCAGTCCTTTGTGGCCCCTA 5' |
|||||
Genomic Alignments ![]() |
Position | Identity | Strand | Target | Target mRNA | ||
laevis 10.1 | Chr9_10L:48160067..48160091 | 25/25 | Sense | target | jmjd6.L | ||
Chr9_10S:41115285..41115309 | 22/25 | Sense | target | jmjd6.S | |||
Publications | |||||||
???morpholino.displaySummary.papersFirst??? |
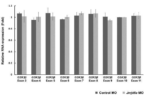
Jmjd6a regulates GSK3β RNA splicing in Xenopus laevis eye development., PLoS One 2019 ![]() |
||||||
???morpholino.displaySummary.papersRecent??? | |||||||
???morpholino.displaySummary.papersAll??? |