|
Literature for DOID 0080599: Coronavirus infectious disease
Xenbase Articles

(

The SARS-CoV-2 Virus and the Cholinergic System: Spike Protein Interaction with Human Nicotinic Acetylcholine Receptors and the Nicotinic Agonist Varenicline.,
Carlson EC,Macsai M,Bertrand S,Bertrand D,Nau J,
Int J Mol Sci. March 15, 2023; 24(6):1422-0067.
![]() |
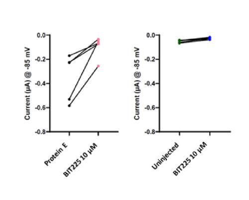
Post-infection treatment with the E protein inhibitor BIT225 reduces disease severity and increases survival of K18-hACE2 transgenic mice infected with a lethal dose of SARS-CoV-2.,
Ewart G,Bobardt M,Bentzen BH,Yan Y,Thomson A,Klumpp K,Becker S,Rosenkilde MM,Miller M,Gallay P,
PLoS Pathog. August 1, 2023; 19(8):1553-7374.
![]() |